✨SÁCH - Phương pháp mới giải nhanh bài tập di truyền (dùng chung các bộ sgk hiện hành) - HA












SÁCH - Phương pháp mới giải nhanh bài tập di truyền (dùng chung các bộ sgk hiện hành) - HA Từ năm 2010, tác giả Phan Khắc Nghệ đã đưa ra các phương pháp giải nhanh bài tập Di truyền và Các phương pháp giải nhanh bài tập Sinh học giúp giáo viên và học sinh cả nước có cách tiếp cận mới để giải quyết các bài tập Sinh học một cách khoa học, sáng tạo. Theo thời gian, tác giả đã tìm ra ra nhiều phương pháp mới giải quyết các bài toán Sinh học. Các phương pháp mới này chưa có bất kì một tác giả nào công bố. Cuốn sách PHƯƠNG PHÁP MỚI GIẢI NHANH BÀI TẬP DI TRUYỀN là tinh hoa mà thầy Phan Khắc Nghệ đã đúc rút và được công bố để phục vụ bạn đọc. Trong cuốn sách này, tác giả đã đưa ra những cách giải bài tập độc đáo và ngắn gọn nhất, giúp học sinh dễ dàng hiểu được kiến thức trọng tâm và làm tốt các bài thi trong các kì thi tuyển sinh và các kì thi chọn học sinh giỏi. Sách được viết thành 10 chuyên đề, mỗi chuyên đề gồm 3 phần: – Trọng tâm lí thuyết; – Phương pháp giải nhanh các dạng bài tập; – Bài tập rèn luyện. Trong cuốn sách này, mỗi bài tập mẫu là một dạng toán được trình bày ngắn gọn, sau mỗi lời giải đều rút ra công thức tổng quát để học sinh vận dụng làm các bài tập khác, cuối mỗi phần có ghi nhớ các nội dung trọng tâm. Trong hệ thống các bài tập mẫu, những dạng bài tập cơ bản được trình bày trước, sau đó đến các bài tập nâng cao. Hệ thống các bài tập vận dụng được xây dựng theo hướng phục vụ ôn tập cho các kì thi và bồi dưỡng học sinh giỏi. Chúng tôi tin tưởng rằng, cuốn sách không chỉ là một tài liệu tham khảo hữu ích giúp học sinh tự học mà nó còn là một tư liệu quý để giáo viên tham khảo sử dụng trong công tác bồi dưỡng và phụ đạo cho học sinh. Dù rất tâm huyết và dành nhiều thời gian để biên soạn, song do những hạn chế khách quan và chủ quan nên cuốn sách không tránh khỏi còn có thiếu sót nhất định, tác giả rất mong nhận được các ý kiến góp ý để trong lần tái bản sau cuốn sách được hoàn thiện hơn.
Công ty phát hành Nhà Sách HỒNG ÂN Tác Giả Phan Khắc Nghệ Nhà Xuất bản Đại Học Quốc Gia Hà Nội Năm Xuất Bản: 2024 Kích Thước 17x24 cm Số Trang 446 Bìa Mềm




Sách Tham Khảo Toán + Vật Lí + Hóa Học 11 (Dùng Chung Cho Các Bộ SGK Hiện Hành) (Bộ 3 Cuốn) 1. Sách Tham Khảo Toán 11 (Dùng Chung Cho Các Bộ SGK Hiện
250 Bài Toán Chọn Lọc Lớp 6 – Cùng con chinh phục môn Toán Cuốn sách 250+ Bài Toán Chọn Lọc Lớp 5 là tài liệu bổ trợ hoàn hảo dành cho các em học sinh lớp
Sách Tham Khảo Toán + Vật Lí + Hóa Học 11 (Dùng Chung Cho Các Bộ SGK Hiện Hành) (Bộ 3 Cuốn) 1. Sách Tham Khảo Toán 11 (Dùng Chung Cho Các Bộ SGK Hiện
Sách - Combo Giúp em giỏi toán 9/1 + 9/2 (bám sát sgk kết nối tri thức với cuộc sống) - HA Cuốn sách Giúp em giỏi Toán 9 Tập một + Tập hai được
Combo 2 cuốn Chuyên Khảo Đa Thức + Phương Trình Hàm (Bồi Dướng HSG Chuyên Toán - Dùng Chung cho các bộ SGK) HA Công ty phát hành: Nhà Sách Hồng Ân 2 Năm Xuất
1. Hướng Dẫn Học Tốt Ngữ Văn 8 - Tập 1 (Bám Sát SGK Cánh Diều) Công ty phát hành Nhà Sách Hồng Ân Tác Giả Kiều Bắc | Nguyễn Thị Hoa | Nguyễn
Combo Em Học Toán Lớp 9 Tập 1 + 2 (Dùng Chung Cho Các Bộ SGK Hiện Hành) (Bộ 2 Cuốn) 1. Em Học Toán Lớp 9Tập 1 (Dùng Chung Cho Các Bộ SGK
SÁCH - Phương pháp mới giải nhanh bài tập di truyền (dùng chung các bộ sgk hiện hành) - HA Từ năm 2010, tác giả Phan Khắc Nghệ đã đưa ra các phương pháp giải
Combo Hướng Dẫn Học Tốt Ngữ Văn 8 - Tập 1 + 2 (Bám Sát SGK Cánh Diều) (Bộ 2 Cuốn) 1. Hướng Dẫn Học Tốt Ngữ Văn 8 - Tập 1 (Bám Sát SGK
Sách - Bồi dưỡng học sinh giỏi toán 9 (dùng chung cho 3 bộ sgk) Với mỗi dạng bài tập cơ bản đều có phương pháp giải cụ thể và ví dụ minh họa. Ngoài
Sách - Giải chi tiết bộ đề thi trung học phổ thông quốc gia môn tiếng anh Công ty phát hành: Nhà Sách Hồng Ân Tác Giả: Lưu hoằng trí Năm Xuất Bản: 2020 Số
Cuốn sách Bồi Dưỡng Ngữ Văn 8 ( Bám sát sgk kết nối tri thức với cuộc sống)được biên soạn nhằm giúp cho các em học sinh lớp 8 có thể tự học để mở
1. Sách - Mindmap kiến thức Toán Văn Anh Lí Hóa lớp 6 - Dễ hiểu, Làm bài nhanh! - Thông tin chi tiết Công ty phát hành: CÔNG TY TNHH WE UP Nhà xuất
Sách - bồi dưỡng ngữ văn 8 (bám sát sgk kết nối tri thức với cuộc sống)Bám sát SGK “Kết nối tri thức với cuộc sống” Sách được hình thành theo cấu trúc như sau:

Combo Tuyển Tập Đề Và Dàn Bài Kiểm Tra Ngữ Văn 7 ( Dùng Chung Cho Các Bộ SGK Hiện Hành - Bộ 3 Cuốn ) 1. 270 Đề Và Bài Văn Hay Lớp 7
Công ty phát hành Nhà Sách Hồng Ân 2 Năm Xuất Bản 2024 Kích Thước17 x 24 cm Nhà Xuất bản Đại Học Quốc Gia hà Nội Số Trang 439 Bìa Mềm Tác Giả Lưu
Công ty phát hành: Nhà sách Hồng Ân Tác giả: Lưu Hoằng Trí Số trang: 440 Năm xuất bản: 2024 Nhà xuất bản: Đại Học Quốc Gia Hà Nội Tiếng Anh ngày càng trở nên
Công ty phát hành Nhà Sách Hồng Ân Ngày xuất bản 2024 Số trang 446 Nhà xuất bản Nhà Xuất Bản Đại Học Quốc Gia Hà Nội Tác giả: Vĩnh Bá Tài Liệu Ôn Thi
Sách - Combo Toán Nâng Cao Đại Số + Hình Học Lớp 8 (Dùng Chung Cho Các Bộ SGK Hiện Hành) (Bộ 2 Cuốn) - HA 1. Toán Nâng Cao Đại Số 8 (Dùng Chung
1. Phương Pháp Tư Duy Tìm Cách Giải Toán Lớp 6. Bộ sách được biên soạn theo từng chương, từng mục của sách giáo khoa hiện hành giúp học sinh củng cố các kiến thức
SÁCH - sách tham khảo hoá học 12 (dùng chung cho các bộ sgk hiện hành) Năm học 2023 – 2024 các em đã tiếp cận với Chương trình giáo dục phổ thông mới trong
Combo Định Hướng Phát Triển Năng Lực Toán 8 - Tập 1 + 2 (Bám Sát SGK Kết Nối Tri Thức Với Cuộc Sống) (Bộ 2 Cuốn) 1. Định Hướng Phát Triển Năng Lực Toán
Theo xu hướng tự chủ, hiện nay các trường đại học, học viện trong cả nước sử dụng nhiều phương thức tuyển sinh khác nhau, trong đó đặc biệt ưu tiên sử dụng kết quả
Cấu trúc cụ thể của cuốn sách Bộ để kiểm tra, đánh giá Toán 9 như sau: PHẦN 1. ĐỀ KIỂM TRA, ĐÁNH GIÁ Để kiểm tra giữa học kì ! Để
Cấu trúc cụ thể của cuốn sách Bộ để kiểm tra, đánh giá Toán 9 như sau: PHẦN 1. ĐỀ KIỂM TRA, ĐÁNH GIÁ Để kiểm tra giữa học kì ! Để
Combo Khám Phá Khoa Học Tự Nhiên 7 + Tuyển Tập Đề Kiểm Tra Định Kì Khoa Học Tự Nhiên Lớp 7 (Biên Soạn Theo Chương Trình GDPT Mới) (Bộ 2 Cuốn) 1. Khám
Theo xu hướng tự chủ, hiện nay các trường đại học, học viện trong cả nước sử dụng nhiều phương thức tuyển sinh khác nhau, trong đó đặc biệt ưu tiên sử dụng kết quả
Kì thi Đánh giá tư duy năng lực của các trường đại học lớn như: Đại học Quốc gia Hà Nội (HSA), Đại học Quốc gia Thành phố Hồ Chí Minh (APT), Trường Đại học
Nhà xuất bản: NXB Dân Trí Tác giả: Nhiều Tác Giả Loại bìa: Bìa Mềm Số trang: 239 Năm xuất bản: 2023 Nhà phát hành : Sách Nhân Dân =================================== Bộ 30 Đề
Nhà xuất bản: NXB Dân Trí Tác giả: Nhiều Tác Giả Loại bìa: Bìa Mềm S ố trang: 239 Năm xuất bản: 2023 Nhà phát hành : Hồng ân =================================== Bộ 30 Đề Thi Thử
Năm học 2022-2023 là năm học đầu tiên áp dụng giảng dạy môn Khoa học tự nhiên 6 theo chương trình giáo dục phổ thông 2018. Đây là môn học tích hợp các lĩnh vực
Bộ 30 Đề Thi Thử Học Sinh Giỏi Khoa Học Tự Nhiên 6 (Theo Chương Trình Giáo Dục Phổ Thông Mới) Năm học 2022-2023 là năm học đầu tiên áp dụng giảng dạy môn Khoa

ương Pháp Giải Toán Chuyên Đề Hình Học Lớp 10 (Biên Soạn Theo Chương Trình GDPT Mới): Tác giả: Nguyễn Văn Nho - Lê Bảy Nhà phát hành : Nhà Xuất Bản Đại Học Quốc
Công ty phát hành: Nhà sách Hồng Ân Năm Xuất Bản: 2024 Tác Giả: Hoàng Thị Thúy Hương, Quách Văn Long, Nguyễn Xuân Trường Số Trang: 394 Nhà xuất bản: Đại Học Quốc Gia Hà
Sách - Bài giảng và lời giải chi tiết Tiếng Anh 12 (theo chương trình Friends Global) Cuốn sách “Bài giảng và lời giải chi tiết Tiếng Anh 12 – Friends Global” được biên soạn
Sách - Hướng dẫn giải chi tiết đề luyện thi tốt nghiệp THPT môn tiếng anh theo cấu trúc đề thi 2025 - HA Các em học sinh lớp 12 thân mến! Chúng tôi biên
Công ty phát hành: Nhà sách Hồng Ân Năm Xuất Bản: 2024 Tác Giả: Hoàng Thị Thúy Hương, Quách Văn Long, Nguyễn Xuân Trường Số Trang: 396 Nhà xuất bản: Đại Học Quốc Gia Hà
Mô Tả Sản Phẩm. Bộ sách hướng dẫn ôn tập kỳ thi vào lớp 10 của THPT Chuyên Ngoại ngữ. + Được các giáo viên đang giảng dạy tại THPT Chuyên Ngoại ngữ trực tiếp
combo Hướng dẫn học và làm bài làm văn Ngữ Văn 8 gồm Hướng dẫn học và làm bài làm văn Ngữ Văn 8 tập 1 Hướng dẫn học và làm bài làm văn Ngữ
Hướng dẫn học và làm bài làm văn Ngữ Văn 8 Để giúp các em có thể học và nắm chắc nội dung kiến thức bộ môn ngữ văn ở cấp THCS, chúng tôi biên
Combo: Bộ sách Ôn luyện cơ bản và nâng cao Toán 9 Tập 1 +T2 (Bám sát chương trình SGK Kết nối tri thức với cuộc sống) Tác giả Nhiều tác giả Nhà xuất bản
Nhà xuất bản : Đại Học Sư Phạm Tác Giả : Nguyễn Đức Tấn Năm xuất bản : 2022 Trang : 200 nhà phát hành : Nhà sách hồng ân NỘI DUNG Định hướng
Nhà xuất bản : Đại Học Sư Phạm Tác Giả : Nguyễn Đức Tấn Năm xuất bản : 2022 Trang : 200 nhà phát hành : Nhà sách hồng ân NỘI DUNG Định hướng
combo hướng dẫn học và phương pháp giải toán 8 - tập 1 + 2 (bám sát sgk chân trời sáng tạo) (bộ 2 cuốn) Combo Hướng Dẫn Học & Phương Pháp Giải Toán Lớp
Sách - Các dạng nghị luận xã hội ngữ văn 9 (dành cho học sinh lớp 9 vào lớp 10 theo cấu trúc đề thi năm 2025) - HA Quý thầy cô và các em
1. Bồi Dưỡng Học Sinh Giỏi Sinh Học 10 - TÁI BẢN MỚI Cuốn sách được viết bám sát chương trình Sinh học lớp 10 phổ thông và chương trình sinh học lớp 10. Cuốn
Sách - Các dạng nghị luận xã hội ngữ văn 9 (dành cho học sinh lớp 9 vào lớp 10 theo cấu trúc đề thi năm 2025) - HA Quý thầy cô và các em
Sách - Các dạng nghị luận xã hội ngữ văn 9 (dành cho học sinh lớp 9 vào lớp 10 theo cấu trúc đề thi năm 2025) - HA Quý thầy cô và các em
CAM KẾT VÀ BẢO HÀNH - Đảm bảo và cam kết sản phẩm đúng với mô tả và hình ảnh của shop. - Đổi trả sản phẩm miễn phí trong vòng 7 ngày nếu sản
Sách - Combo Hướng Dẫn Học Ngữ Văn Lớp 7 Tập 1 + Tập 2 ( Dùng Kèm Sách Giáo Khoa Chân Trời Sáng Tạo ) gồm : Hướng Dẫn Học Ngữ Văn 7- Tập 1
Sách - Sách tham khảo lí 12 theo chương trình mới (dùng chung các bộ sgk hiện hành) + ha Tiếp theo cuốn Sách tham khảo VẬT LÍ 10, 11, với tinh thần giúp đỡ
1.Bồi Dưỡng Học Sinh Giỏi Hóa Học 8 Theo Chuyên Đề (Dùng Chung Cho Các Bộ SGK Hiện Hành) Cuốn sách Các Chuyên Đề Bồi Dưỡng Học Sinh Giỏi Hóa Học 8 giúp các em
1.Bồi Dưỡng Học Sinh Giỏi Hóa Học 8 Theo Chuyên Đề (Dùng Chung Cho Các Bộ SGK Hiện Hành) Cuốn sách Các Chuyên Đề Bồi Dưỡng Học Sinh Giỏi Hóa Học 8 giúp các em
Sách - Tư Liệu Dạy Học Lịch Sử + Địa Lí Lớp 9 (Dùng Chung Cho Các Bộ SGK Hiện Hành) - HA Nhằm cung cấp cho giáo viên và học sinh các tư liệu
Sách - Tư Liệu Dạy Học Lịch Sử + Địa Lí Lớp 9 (Dùng Chung Cho Các Bộ SGK Hiện Hành) - HA Nhằm cung cấp cho giáo viên và học sinh các tư liệu
Sách - Combo Tư Liệu Dạy - Học: Lịch Sử 9 + Địa Lí 9 (Dùng Chung Cho Các Bộ SGK Hiện Hành) - HA Combo Tư Liệu Dạy - Học: Lịch Sử 9 +
1.Bồi Dưỡng Học Sinh Giỏi Hóa Học 8 Theo Chuyên Đề (Dùng Chung Cho Các Bộ SGK Hiện Hành) Cuốn sách Các Chuyên Đề Bồi Dưỡng Học Sinh Giỏi Hóa Học 8 giúp các em
Tác giả: Nhiều tác giả Nhà xuất bản: NXB Giáo dục Việt Nam Năm xuất bản: 2023 Số trang: 116/ cuốn Khổ: 20x28 cm Hình thức: Bìa mềm Giới
Cấu trúc cụ thể của cuốn sách Bộ để kiểm tra, đánh giá như sau: PHẦN 1. ĐỀ KIỂM TRA, ĐÁNH GIÁ Để kiểm tra giữa học kì ! Để kiểm tra
Cấu trúc cụ thể của cuốn sách Bộ đề kiểm tra, đánh giá Toán 6 như sau: PHẦN 1. ĐỀ KIỂM TRA, ĐÁNH GIÁ Đề kiểm tra giữa học kì l Đề
👁️ 42 | ⌚2025-10-09 02:26:33.847
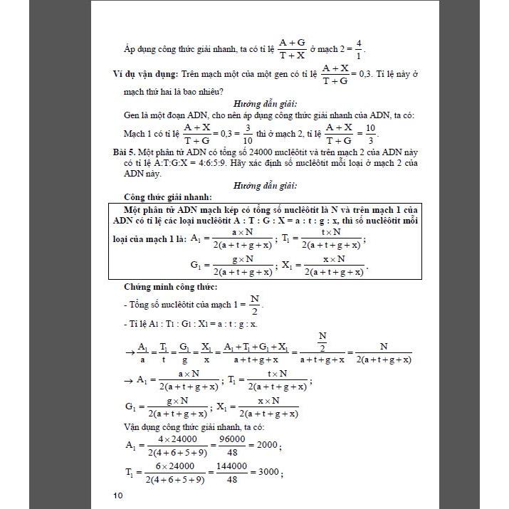
Phương Pháp Giải Bài Toán Nghịch & Trội Lặn Không Hoàn Toàn | Quy Luật Phân Li - Sinh Học 12
Sinh học 12: Phương Pháp Giải Bài Tập Mendel – Quy Luật Phân Li Dễ Hiểu, Nhanh Nhớ!
[Sinh Học 12] DẠNG BÀI XÁC ĐỊNH THÀNH PHẦN GENE GIAO TỬ – Quy Luật Phân Li Độc Lập Cực Dễ Hiểu!
[Sinh học 12] Dạng Bài Xác Định Số Loại Giao Tử | Quy Luật Phân Li Độc Lập Dễ Hiểu, Dễ Nhớ
PHƯƠNG PHÁP MỚI GIẢI NHANH BÀI TẬP DI TRUYỀN - PHAN KHẮC NGHỆ (10 CHUYÊN ĐỀ CÓ LỜI GIẢI CHI TIẾT)

Phương Pháp Giải Bài Toán Nghịch & Trội Lặn Không Hoàn Toàn | Quy Luật Phân Li - Sinh Học 12
Sinh học 12: Phương Pháp Giải Bài Tập Mendel – Quy Luật Phân Li Dễ Hiểu, Nhanh Nhớ!
[Sinh Học 12] DẠNG BÀI XÁC ĐỊNH THÀNH PHẦN GENE GIAO TỬ – Quy Luật Phân Li Độc Lập Cực Dễ Hiểu!
[Sinh học 12] Dạng Bài Xác Định Số Loại Giao Tử | Quy Luật Phân Li Độc Lập Dễ Hiểu, Dễ Nhớ
PHƯƠNG PHÁP MỚI GIẢI NHANH BÀI TẬP DI TRUYỀN - PHAN KHẮC NGHỆ (10 CHUYÊN ĐỀ CÓ LỜI GIẢI CHI TIẾT)

LƯU Ý : SÁCH CHỈ TẶNG KÈM QUÀ CHO BẢN IN ĐẦU TIÊN Họ nói: Quý Nhượng độc một thân nanh vuốt sắc nhọn, anh đã sa ngã đến mức không thể cứu vãn được nữa, những người xung quanh anh chắc chắn cũng sẽ trầm luân trong vực thẳm. Họ truyền tai nhau: Quý Nhượng là một kẻ điên, ngang ngược, thâm hiểm, cậy nhà giàu nên suốt ngày gây chuyện. Và ngay cả chính Quý Nhượng cũng thấy vậy, anh chẳng có gì gọi là kế hoạch cuộc đời, anh sống ngày nào hay ngày ấy, không có mơ ước cũng chẳng hy vọng về tương lai. Cuộc đời của anh chỉ độc một nỗi cô đơn, nhàm chán, không ai quản nổi, cũng chẳng ai quan tâm. Vậy mà… Bất chợt một ngày, một cô gái nhỏ xuất hiện trong cuộc đời anh, đuổi theo phía sau anh, và luôn nở nụ cười ngọt ngào với anh. Cô sẵn sàng dang rộng đôi tay che chở cho anh ở phía sau. Cô gái ấy nói với anh rằng “Dù cả thế giới quay lưng lại với cậu, tớ cũng sẽ mãi mãi đứng về phía cậu.” “Tớ không đi đâu hết, tớ sẽ chỉ ở bên cạnh cậu thôi.” Cô gái ấy tuyên bố với mọi người rằng, “Anh ấy thế nào tôi cũng thích.”
Không cần “phải làm thế này”, “phải làm thế kia”, “phải làm thật tốt”, chỉ cần là chính mình Dù xinh đẹp hay xấu xí, bất kể tôi là người như thế nào, thì trước
Bột tẩy đa năng Axit Citric 600g THÔNG TIN SẢN PHẨM Xuất xứ: Nhật Bản - Màu sắc: Màu xanh - Kích thước:W235×D143×H70mm - Chất liệu:Sodium, Axitcacbonic, Ca, Laurylsulfate, Glycerin... ❉ Ưu điểm: ️ ●
Mô hình lắp ráp siêu xe Lambo tỉ lệ 1:14 , Đồ chơi lắp ráp xe ô tô 1. Mô hình này dành cho ai? - Dành người đam mê lắp ráp, sưu tầm các
Gan là cơ quan thải độc chính, là lá chắn tự nhiên không thể thiếu đối với cơ thể. Rối loạn chức năng gan gây ảnh hưởng nghiêm trọng đến sức khỏe. Có rất nhiều
Kính Thực Tế Ảo VR SHINECON G10 Cho Điện Thoại 4.7-7.0 inch Điện Thoại Thông Minh Phiên Bản 2022 Có Tai Nghe THÔNG TIN SẢN PHẨM: Băng đô co giãn có thể điều chỉnh, thoải
Thông tin chi tiết: Thương hiệu RẠNG ĐÔNG Xuất xứ thương hiệu Việt Nam Vật liệu Kim loại Nguồn điện danh định 220V/50Hz Thay thế bộ đèn ốp trần compact 30W Thay thế bộ đèn
Bộ 3 Hộp Nhựa Classic Lock&Lock Hình Chữ Nhật Khóa 4 Cạnh Kín Hơi (1 Hộp 1L và 2 Hộp 470ml) được làm từ nhựa PP đã thông qua kiểm định theo tiêu chuẩn FDA
Hộp đựng thực phẩm và lưu trữ thức ăn trong tủ lạnh. - Chất liệu: thủy tinh chịu cường lực. - Sử dụng an toàn trong lò vi sóng, máy rửa bát - Nắp đậy
Sách - Combo Định hướng phát triển năng lực toán 9 -Tập 1+2 (bám sát sgk kết nối tri thức với cuộc sống) (HA-MK) Các thầy giáo cô giáo cùng toàn thể các em học
Nhà Phát Hành: Cty Văn Hóa Việt Thư Nhà Xuất Bản: NXB Phụ Nữ Việt Nam Tác giả: Nhã Uyên Ngôn ngữ: Tiếng Việt Nhập khẩu/ trong nước: Trong nước Đối tượng: Nhi đồng Loại
Tu Giữa Đời Thường - Minh triết phương Đông trong đời sống hiện đại - Thế giới hiện đại, đặc biệt là n.hịp s.ống hối hả của môi trường đô thị khiến con người ngày
Ngôn từ có khả năng thuyết phục nhưng cũng có thể khiến người khác khó chịu. Ngôn từ có khả năng dẫn dắt nhưng cũng có thể gây cản trở cho bạn. Ngôn từ có
1.Người Sống Cũng Phải Hồi Sinh Chúng ta phải chăng đã từng quen nhau? Giữa muôn vàn những quyển sách, bạn lại chọn đến với mình. Đó chỉ có thể là Duyên. Vậy thì mình
Combo Tâm Của Ta Ở Đâu Hạnh Phúc Của Ta Ở Đó + Yêu Thương Cho Đi Là Yêu Thương Còn Mãi (Tủ Sách Trí Tuệ) 1. Tâm Của Ta Ở Đâu Hạnh Phúc Của Ta
HÂN HẠNH CHÀO ĐÓN BẠN ĐẾN VỚI "TƯ DUY PHẢN BIỆN"! Dù bạn đọc cuốn sách này vì mục đích công việc hay để giải khuây, vì mục đích học tập hay với mong muốn
Combo Ping - Giải Cứu Vườn Địa Đàng + Ping - Vượt Ao Tù Ra Biển Lớn (Bộ 2 Cuốn) Sau sự thành công của Ping - Vượt khỏi ao tù (tập 1), Ping –
Bộ sách New Toeic gồm 5 cuốn Very Easy TOEIC 1, Very Easy TOEIC 2, TOEIC Upgrade, Taking the TOEIC 1, Taking the TOEIC 2 giới thiệu đến độc giả những kỹ năng cần thiết
Công ty phát hành: First News - Trí Việt Tác giả: Nhiều tác giả Nhà xuất bản: Nhà Xuất Bản Tổng Hợp Năm xuất bản: 2023 Loại bìa: Bìa mềm Giá bìa: 218,000 Số trang:
Combo Minh Triết Tình Yêu Và Siêu Thức + Thiền Định Khai Sáng Tuệ Giác (Bộ 2 Cuốn) Nối tiếp nội dung phần 1, phần 2 cuốn sách "Quà tặng của tạo hóa -