✨Bài tập Toán cao cấp, tập 3: Phép tính giải tích nhiều biến số






Nội dung gồm có:
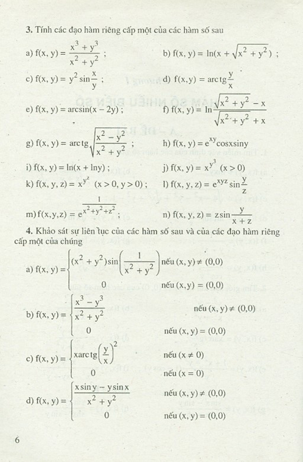
Chương 1. Hàm số nhiều biến số Chương 2. Ứng dụng của phép tính vi phân trong hình học Chương 3. Tích phân bội Chương 4. Tích phân đường, tích phân mặt Chương 5. Phương trình vi phân




Nhà xuất bản: NXB Dân Trí Tác giả: Nhiều tác giả Loại bìa: Bìa Mềm Số trang: 159 Năm xuất bản: 2025 Điểm Cao Và Chinh Phục Ngữ Văn 12 Luyện Thi TN THPT
MÔ TẢ SẢN PHẨM CAM KẾT VÀ BẢO HÀNH - Đảm bảo và cam kết sản phẩm đúng với mô tả và hình ảnh của shop. - Đổi trả sản phẩm miễn phí trong vòng
Bộ sách "Bồi Dưỡng Học Sinh Giỏi Vật Lí Trung Học Phổ Thông - 13 cuốn"nằm trong bộ sách chuyên đề nhiều tập của NXB Giáo dục Việt Nam. Đây là tập sách viết sâu
Sách - Hướng dẫn ôn thi tốt nghiệp THPT môn Ngữ Văn (BÁM SÁT CẤU TRÚC VÀ NỘI DUNG ĐỀ THI MINH HOẠ TỐT NGHIỆP THPT ĐƯỢC BỘ GIÁO DỤC & ĐÀO TẠO CÔNG
Sách - Combo Để học tốt Ngữ Văn 10 - Tập 1 + 2 (Theo SGK Cánh Diều) Gồm 2 cuốn : Để học tốt Ngữ Văn 10 - Tập 1 (Theo SGK Cánh
Thầy cô đang cần một cuốn sách tham khảo gợi mở những ý tưởng sáng tạo, gắn việc dạy – học lịch sử với thực tiễn, phát triển tư duy và đảm bảo các yêu
Thông tin chi tiết: Tác giả: NGƯT. ThS. Lê Hoành Phò Nhà Xuất Bản : NXB Đà Nẵng Số trang : 534 Năm xuất bản : 2022 Giới thiệu sách: Phần 1: Nguyên Hàm
Bí kíp - nắm trọn điểm thi vào 10: Đây là cuốn sách vàng ''giải cứu'' các sĩ tử 2K7 nhằm giúp các em học sinh lớp 9 tự tin chinh phục toàn bộ
Theo chương trình mới, các bạn tiếp cận Toán học với những nội dung gần gũi với cuộc sống và giảm nhẹ các yếu tố hàn lâm. Các bạn cũng được định hướng để phát
Với mục đích giúp các em học sinh làm quen với phương pháp thi mới mẻ này và có được tài liệu chuẩn bị cho kỳ thi sắp tới, tác giả đã xuất bản cuốn
Năng lực đọc hiểu văn bản là một yêu cầu ngày càng trở nên quan trọng đối với con người. Bởi vậy trong nhà trường trung học hiện nay, với môn Ngữ văn, đọc hiểu
Nhằm giúp giáo viên có thêm tài liệu tham khảo trong việc bồi dưỡng, rèn luyện năng khiếu cho học sinh giỏi và giúp các em học sinh có tài liệu tự nâng cao kiến
Sách - Tổng Tập Đề Thi Olympic 30 Tháng 4 Môn Vật Lí Lớp 10 Kì thi Olympic 30 tháng 4 do Sở Giáo dục và Đào tạo, trường THPT chuyên Lê Hồng Phong
Nhằm giúp giáo viên có thêm tài liệu tham khảo trong việc bồi dưỡng, rèn luyện năng khiếu cho học sinh giỏi và giúp các em học sinh có tài liệu tự nâng cao kiến
Nội dung trong sách bám sát chương trình ban Cơ bản phù hợp với kiến thức thi THPT - Quốc gia hiện nay. Sách gồm 18 vấn đề, mỗi vấn đề gồm nhiều dạng bài
Khám Phá Toán 11 Để Học Giỏi - Tập 2 (Dùng Kèm SGK Chân Trời Sáng Tạo) Nối tiếp bộ sách Khám phá Toán 10 để học giỏi gồm 3 phiên bản tương ứng cho 3
THÔNG TIN CHI TIẾT - Tác giả : Nhóm tác giả - Nhà xuất bản : NXB Dân Trí - Kích thước : 21x 30 cm - Số trang : 269 trang - Loại bìa
THÔNG TIN CHI TIẾT - Tác giả : Nhóm tác giả - Nhà xuất bản : NXB Dân Trí - Kích thước : 21 x 30 cm - Số trang : 309 trang - Loại
Nhằm giúp các em học sinh bậc trung học phổ thông (THPT) nắm vững được kiến thức và kĩ năng của chương trình Vật lí trong quá trình học và ôn tập, chúng tôi biên
ƯU ĐIỂM CỦA CUỐN SỔ TAY LUYỆN THI VÀO LỚP 10 - MÔN TOÁN 1. Hệ thống kiến thức toán học ngắn gọn, trọng tâm nhất Cuốn sách bao gồm 12 chương kiến thức ngắn gọn nhất,
Mô tả sản phẩm Căn cứ vào yêu cầu đạt được của mỗi chuyên đề chuyên sâu môn Hóa học được quy định trong công văn số 4171 BGD ĐT-GD TrH ngày 26 tháng 08
SÁCH ĐỘT PHÁ TƯ DUY LỊCH SỬ 12 Biến việc học thành một cuộc phiêu lưu thú vị Bạn đang tìm kiếm một giải pháp học tập giúp bạn tiết kiệm thời gian, chi
Đột Phá Ngữ Văn 11 - Tập 1 (Theo Bộ Sách Cánh Diều) Bạn đang tìm kiếm một giải pháp học tập giúp bạn tiết kiệm thời gian, chi phí mà lại nâng cao được
Đột Phá Ngữ Văn 11 - Tập 2 (Theo Bộ Sách Cánh Diều) Bạn đang tìm kiếm một giải pháp học tập giúp bạn tiết kiệm thời gian, chi phí mà lại nâng cao được
Đột Phá Ngữ Văn 10 - Tập 2 (Theo Bộ Sách Cánh Diều) Bạn đang tìm kiếm một giải pháp học tập giúp bạn tiết kiệm thời gian, chi phí mà lại nâng cao được
Đột Phá Tư Duy Hóa Học 12 - Tập 2 Bạn đang tìm kiếm một giải pháp học tập giúp bạn tiết kiệm thời gian, chi phí mà lại nâng cao được hiệu quả học
Hướng Dẫn Ôn Thi Tốt Nghiệp Trung Học Phổ Thông - Môn Ngữ Văn Từ năm 2025, thay đổi toàn diện Chương trình Giáo dục Phổ thông. Theo đó kì thì tốt nghiệp Trung học
Phương Pháp Giải Các Dạng Toán Thực Tế 12 Trong bối cảnh giáo dục ngày nay, việc nắm vững kiến thức toán học không chỉ là một nhiệm vụ học thuật mà còn là yếu
Thông tin chi tiết Tác giả: Nhiều tác giả NXB: Nhà xuất bản Đại học Quốc gia Hà Nội Nhà cung cấp ndbooks Năm xuất bản: 2025 Số trang: 176
SÁCH ĐỘT PHÁ TƯ DUY KÌ THI TỐT NGHIỆP THPT MÔN LỊCH SỬ Theo cấu trúc định hướng thi mới năm 2026 của BGD Với cấu trúc đề thi mới, các dạng câu hỏi mới
SÁCH ĐỘT PHÁ TƯ DUY KÌ THI TỐT NGHIỆP THPT MÔN NGỮ VĂN Theo cấu trúc định hướng thi mới năm 2026 của BGD Với cấu trúc đề thi mới, các dạng câu hỏi mới
Kì thi Olympic 30 tháng 4 do Sở Giáo dục và Đào tạo, Trường Trung học Phổ thông Chuyên Lê Hồng Phong Thành phố Hồ Chí Minh tổ chức đã diễn ra được 26 kì
Nội dung của mỗi tiết học là các định nghĩa, các công thức toán học, các định lí mà mỗi học sinh cần nhớ, đồng thời phải biết vận dụng các kiến thức để làm
Nội dung của mỗi tiết học là các định nghĩa, các công thức toán học, các định lí mà mỗi học sinh cần nhớ, đồng thời phải biết vận dụng các kiến thức để làm
Ngữ văn 10 - Phương pháp đọc hiểu và viết (dùng ngữ liệu ngoài sgk) - Theo CT 2018 dùng chung cho 3 bộ sgk là sách thảm khảo dùng cho học sinh lớp 10, Sách được
Cuốn sách "Hóa học nâng cao 10" được biên soạn dựa trên Chương trình giáo dục phổ thông năm 2018 - môn Hóa học, gồm 7 chương- * Chương 1. Cấu tạo nguyên tử
Năm học 2017 - 2018 đã bắt đầu. Các em học sinh lớp 12 vừa học phải vừa kiểm tra bài tập chu đáo theo từng chủ đề để chuẩn bị tốt nhất cho mình
Bộ sách bám sát yêu cầu đạt Ngữ văn 10 - chương trình Giáo dục phổ thông 2018 và công văn hướng dẫn về đổi mới dạy học và kiểm tra đánh giá Ngữ văn
Tham Khảo Hóa Học Lớp 11 - Biên soạn theo chương trình GDPT mới Tác giả : nhiều tác giả Năm xuất bản : 2023 Trang : 294 nhà phát hành : Nhà sách hồng
SÁCH - Hướng dẫn giải nhanh đề kiểm tra Hoá học 11 (dùng chung cho các bộ SGK hiện hành) Các em học sinh thân mến! Nhằm giúp các em đạt điểm cao trong các
NỘI DUNG CHƯƠNG 7: BẤT PHƯƠNG TRÌNH BẬC HAI MỘT ẨN CHƯƠNG 8: ĐẠI SỐ TỔNG HỢP CHƯƠNG 9: PHƯƠNG PHÁP TỌA ĐỘ TRONG MẶT PHẲNG CHƯƠNG 10 : XÁC SUẤT
Nếu như Những Viên Kim Cương Trong Bất Đẳng Thức Toán Học là một cuốn sách giới thiệu đầy đủ nhất về những phương pháp và công cụ chứng minh Bất đẳng thức thì Vẻ
HỌC TỐT TIẾNG ANH 10 – THEO CHƯƠNG TRÌNH GLOBAL SUCCESS Cuốn sách Học tốt Tiếng Anh 10 theo chương trình Global Success được biên soạn nhằm hỗ trợ học sinh nắm vững kiến thức,
[Sách luyện thi THPT Quốc gia] - Chuyên đề Tích Phân & Số Phức – Phương Pháp Giải Nhanh & Bài Tập Trắc Nghiệm Chọn Lọc Bạn đang ôn thi THPT Quốc gia và muốn
Câu Hỏi Và Bài Tập Trắc Nghiệm Lịch Sử Theo Chủ Đề 12 Sách có 2 phần: - Phần 1: Lịch sử Việt Nam - Phần 2: Lịch sử Thế giới Cả 2
Với mong muốn giúp các em được tiếp cận với từ vựng theo các chủ đề, luyện tập và nâng cao nội dung cấu trúc, ngữ pháp của hai chương trình tiếng Anh lớp 12
- - Bắt đầu từ năm học 2022 – 2023, học sinh lớp 10 sẽ học theo chương trình mới với rất nhiều thay đổi so với chương trình trước đó. Nội dung ở chương
Luyện Đề Chuẩn Bị Kì Thi THPT Quốc Gia 2018 Tiếng Anh Kỳ thi THPT quốc gia sắp đến rồi. Các em đã chuẩn bị hành trang cho kỳ thi sắp tới của các em
Trọng Tâm Kiến Thức Hóa Học 10 (Biên Soạn Theo Chương Trình GDPT Mới) Trọng Tâm Kiến Thức Hóa Học 10 (Biên Soạn Theo Chương Trình GDPT Mới), tác giả Đỗ Xuân Hưng biên soạn
Nhằm giúp giáo viên có thêm tài liệu tham khảo trong việc bồi dưỡng, rèn luyện năng khiếu cho học sinh giỏi và giúp các em học sinh có tài liệu tự nâng cao kiến
Cuốn sách gồm 21 chuyên đề có đầy đủ nội dung của Sách giáo khoa Vật lý 10 Cấu trúc mỗi chuyên đề bao gồm: - Tóm tắt SGK - Các ví dụ - Bài
Phần thứ nhất: Câu hỏi đọc hiểu I. Quan sát đề thi THPT quốc gia/ Đề thi tốt nghiệp THPT từ năm 2015 tới 2022 II. Nhận xét cấu trúc kiểu bài đọc hiểu III.
Tập 2 gồm các chương: Chương VI: Hàm số, đồ thị và ứng dụng Chương VII: Phương pháp tọa độ trong mặt phẳng Chương VIII: Đại số tổ hợp Chương IX: Tính xác suất theo
Bộ Đề Luyện Thi THPT Quốc Gia Môn Toán Tự Luận - Văn Phú Quốc Môn Toán là một môn học thú vị và hấp dẫn vô cùng đối với tất cả mọi người
Các em học sinh thân mến! Nhằm giúp đỡ các em đạt kết quả cao trong kì thi chọn học sinh giỏi các cấp, đặc biệt là học sinh các lớp chọn, lớp năng khiếu
MÔ TẢ SẢN PHẨM Tác giả: Nhiều tác giả Nhà xuất bản : NXB Đại Học Quốc Gia Hà Nội Đơn vị phát hành : Sách hồng ân Ngày xuất bản : 2022 Số trang : 348 Kích
Combo Tư Liệu Dạy - Học Lịch Sử Lớp 11 + Tư Liệu Dạy - Học Địa Lí Lớp 11 (Bộ 2 Cuốn) Cuốn sách Tư liệu dạy – học Lịch sử 11 được tác
Sách - Ngữ Văn 11 - Phương Pháp Đọc Hiểu Và Viết (Dùng ngữ liệu ngoài sgk): ĐỂ HÌNH THÀNH PHƯƠNG PHÁP TỰ HỌC, LUYỆN KĨ NĂNG, học sinh cần hiểu kiến thức cơ bản,
👁️ 88 | ⌚2025-09-16 23:13:56.339


The Little Book Of World Religions - Những Tôn Giáo Trên Thế Giới Các tôn giáo trên thế giới vô cùng đa dạng với những hình thức thờ tự và niềm tin khác nhau. Tôn
Tuyển Chọn 199 Bài Và Đoạn Văn Hay 8 (Theo Chương Trình Giáo Dục Phổ Thông Mới) Để học tốt môn Ngữ Văn, ngoài bài học trên lớp, các em nên tham khảo thêm một
270 Đề Và Bài Văn Hay Lớp 8 Để học sinh có thể phát huy tính chủ động trong việc học, bên cạnh sự có mặt của giáo viên, các loại tài liệu tham
Dịch giả: 1980Books; Ngày xuất bản: 09-2020 Kích thước: 24 x 17 cm Nhà xuất bản: NXB Dân Trí Hình thức bìa: Bìa mềm Số trang: 220 Luyện thi olympic khoa học lớp 4 Sách
Chúng ta muốn hiểu được đối phương trước khi họ bắt đầu nói. Chúng ta muốn thấy được động cơ của họ. Chúng ta muốn có thể bảo vệ chính mình. Chúng ta muốn có
Tâm Lý Học Hẹn Hò - Nghệ Thuật Giao Tiếp Trong Tình Yêu Tại Mỹ, chúng ta nghe nói rằng kết cục của hơn một nửa các cuộc hôn nhân là ly hôn. Ở Bồ
Sống Lần Thứ 2
Tập Trung Tâm Trí, Suy Nghĩ Thông Minh, Quyết Định Sáng Suốt Tác giả Daren Bridger, David Lewis NXB NXB Công Thương Năm XB 2022 Ngôn Ngữ Tiếng Việt Trọng lượng (gr) 250 Kích Thước
Cuốn sách cung cấp cho người đọc những phương pháp để đạt đến một cuộc sống thực sự ý nghĩa và trọn vẹn. Dưới ánh sáng của Phật pháp, thi ca, nghệ thuật, khoa học
Mày Vẫn Ổn, Đừng Lo Lắng! - Một Cuốn Sách Về OCD Bằng Chữ Và Tranh Jason Adam Katzenstein – họa sĩ vẽ tranh cho Tạp chí New Yorker cố gắng sống một cuộc đời
Solo Living – Tâm Lý Học Giải Mã Độc Thân Bạn thầm mong một cái quẹt phải trên Tinder có thể giải quyết “vấn nạn độc thân” của m.ình? Bạn dành hết thời gian rảnh
Thao Túng Cảm Xúc - Làm Sao Thoát Khỏi Chiếc Bẫy Vô Hình? Cuốn sách bán chạy nhất Đài Loan năm 2017 này sẽ giúp bạn thoát khỏi chiếc bẫy vô hình mang tên "thao
128 Mẹo Cải Thiện Năng Lực Cho Người Mới Đi Làm - Từ "Amateur" Đến Chuyên Nghiệp Nếu bạn là một người trẻ mới ra trường với “zero” kinh nghiệm trong tay; một người mới
Hội Chứng Bất Hạnh Biến Bạn Thành “Kẻ Độc Hại” HỘI CHỨNG BẤT HẠNH BIẾN BẠN THÀNH “KẺ ĐỘC HẠI” - Nhận diện 14 thói quen tâm lý độc hại ngăn cản bạn trở thành
Lật Tẩy Kẻ Nói Dối - Vén Màn Sự Thật, Nhìn Thấu Điều Kẻ Khác Đang Che Giấu Sự thật là lăng kính giúp chúng ta nhìn nhận thế giới. Càng biết nhiều sự thật,
7 Nguyên Tắc Phát Triển Bản Thân Của Người Thông Minh Trong cung cách đối đãi giữa người với người, chúng ta vẫn thường đặt ra các nguyên tắc ứng xử và áp dụng chúng.
7 Nguyên Tắc Phát Triển Bản Thân Của Người Thông Minh Nhà xuất bản : Nhà Xuất Bản Thế Giới. Công ty phát hành : Vivabooks. Tác giả : Steve Pavlina. Kích thước : 20.5
Giải Mộng - Giải Mã Mối Liên Kết Giữa Trực Giác Và Giấc Mơ Giấc mơ không đơn thuần là những hình ảnh thoáng qua trong tâm trí khi ta say ngủ. Chúng là cánh
Đúng Thời Điểm, Hoa Sẽ Nở “Bất cứ ai trong chúng ta cũng có một thời điểm của riêng m.ình. Ngay cả những khoảnh khắc hoa chưa nở rộ cũng vô cùng đẹp đẽ.” Chúng
Sống Đời Tỉnh Thức Nếu bạn đang mắc kẹt trong lối mòn, hoặc sống một cuộc sống theo thói quen, hằng ngày lặp đi lặp lại những công việc như một cái máy móc, để