✨Sách - Ôn Luyện Môn Toán Thi Vào Lớp 10 - Dùng Chung Cho Các Bộ SGK Hiện Hành - Hồng Ân









Sách - Ôn Luyện Môn Toán Thi Vào Lớp 10 - Dùng Chung Cho Các Bộ SGK Hiện Hành Để góp thêm tư liệu tốt nhất trong quá trình chuẩn bị thi vào lớp 10 năm học sắp tới của các em, nhóm tác giả tổ chức biên soạn quyển sách: ÔN LUYỆN MÔN TOÁN THI VÀO LỚP 10 Các tác giả là những giáo viên có nhiều kinh nghiệm trong giảng dạy và ôn luyện thi vào lớp 10 ở các địa phương: TP. Hồ Chí Minh, Bình Dương, Khánh Hoà, Phú Yên, Bình Định... Quyển sách gồm hai phần: • Phần 1: A. Các đề toán thi vào lớp 10 năm học 2020 – 2021 (Hệ đại trà) B. Các bài viết chọn lọc • Phần 2: A. Các đề toán thi vào lớp 10 hệ chuyên Toán năm học 2020 – 2021 B. Các bài viết chọn lọc Chúng tôi mong rằng quyển sách sẽ là một tài liệu thiết thực và bổ ích giúp các em học sinh lớp 9 tự ôn luyện, củng cố kiến thức và tự đánh giá năng lực toán của bản thân để từ đó mạnh dạn tham gia các kì thi và đạt kết quả cao. Mặc dù các tác giả rất cố gắng trong quá trình biên soạn, song quyển sách chắc chắn không tránh khỏi những thiếu sót nhất định. Rất mong nhận được những ý kiến đóng góp chân thành từ quý bạn đọc gần xa, để quyển sách được hoàn thiện hơn trong lần tái bản sau.
Nhà Phát Hành: Nhà Sách Hồng Ân Nhà Xuất Bản: NXB Đại Học Quốc Gia Hà Nội Tác Giả: Nhiều Tác Giả Hình Thức: Bìa Mềm Số Trang: 320 Kích Thước: 16 x 22 cm Ngày Xuất Bản: 2024




Đổi Mới Từ Cốt Lõi (Tái Bản 2018) Nếu như đổi mới là cách duy nhất đánh bật các đối thủ trong thời gian dài, vậy thì điều đó khó có thể được thực hiện
SỨC MẠNH CỦA SỰ KHEN NGỢI - BÍ QUYẾT ĐỂ GIAO TIẾP THÀNH CÔNG Khen ngợi là cách thức đơn giản nhưng hiệu quả để giành được những mối quan hệ và các nguồn
Bạn Đỡ Ngu Ngơ Rồi Đấy Sau thành công của cuốn sách tâm lý học gây chấn động năm 2017 Bạn Không Thông Minh Lắm Đâu, tác giả David McRaney sẽ quay trở lại với
Bí Mật Của Sự Can Đảm - Nhận Diện, Giải Mã 23 Nỗi Sợ Và Mở Khóa Tài Năng Trong dòng chảy hối hả của cuộc sống, chúng ta thường dễ bỏ lỡ nhiều
Tính Phi Lý Của Lý Trí - Trịnh Dục Hoàng, Tô Đan ------------ Tính Phi Lý Của Lý Trí TÍNH PHI LÝ CỦA LÝ TRÍ – LÝ THUYẾT VỀ CÁC HÀNH VI KỲ LẠ
CHẲNG AI NGAY TỪ ĐẦU ĐÃ CAM TÂM LÀM MỘT NGƯỜI TẦM THƯỜNG Cuốn sách này đặc biệt, bởi nó dành cho những người trẻ biết sống và tin vào nhân quả, trong các mối
Tự Chủ Cảm Xúc, Làm Chủ Tương Lai Cuốn sách giúp bạn nhận ra “Càng hoàn hảo, càng cô đơn” “Chúng ta thực sự học cách làm người trưởng thành một cách lặng lẽ,
Sức Mạnh Của 1% Thay Đổi Tích Cực Mỗi Ngày BÍ QUYẾT GIÚP BẠN NÂNG CAO GIÁ TRỊ BẢN THÂN BẰNG NHỮNG THAY ĐỔI TÍCH CỰC Tất cả chúng ta vẫn thường hy vọng bản
SỰ NÁO NHIỆT KHI Ở MỘT MÌNH ------------ SỰ NÁO NHIỆT KHI Ở MỘT MÌNH Đôi lúc bạn sẽ tự hỏi, ở một mình có buồn không? Có chứ. Buồn chẳng phải vì không
Sống Thực Tế Giữa Đời Thực Dụng THỰC DỤNG Ư? KHÔNG HỀ, TÔI CHỈ RẤT THỰC TẾ THÔI! Con người muốn trưởng thành đều phải trải qua ba lần lột xác “phá kén hóa bướm”.
Bạn Đỡ Ngu Ngơ Rồi Đấy (Bạn Muốn Chế Ngự Tâm Lý Đám Đông)(Tái Bản) ------------ Bạn đỡ ngu ngơ rồi đấy Sau thành công của cuốn sách đầu tay Bạn Không Thông Minh
Từ xưa tới nay, con người vẫn luôn tự hỏi thế nào là một đời hạnh phúc? Con người ta nên sống ra sao? Điều gì rạo nên một cuộc sống hạnh phúc? Hạnh phúc
Có thể bạn chưa biết: Động lực không phải thứ sinh ra đã có trong mã gen của mỗi người. Mà thực chất, đó là kỹ năng mà bạn hoàn toàn có thể học hỏi
Tự Chủ Cảm Xúc, Làm Chủ Tương Lai ------------ Tự Chủ Cảm Xúc, Làm Chủ Tương Lai Cuốn sách giúp bạn nhận ra “Càng hoàn hảo, càng cô đơn” “Chúng ta thực sự
Bí Mật Của Sự Can Đảm Nhận Diện, Giải Mã 23 Nỗi Sợ Và Mở Khóa Tài Năng ------------ Bí Mật Của Sự Can Đảm - Nhận Diện, Giải Mã 23 Nỗi Sợ Và
Nghe tựa đề và nhìn bìa chắc hẳn bạn đã muốn mua rồi phải không nào. Màu xanh rất đẹp đúng không??? Hình thức nhỏ gọn như một cuốn sổ tay phù hợp mang đi
999 Lá Thư Gửi Cho Chính Mình (*) - Tập 1 - Mong Bạn Trở Thành Phiên Bản Hoàn Hảo Nhất (Tái bản) ------------ “999 lá thư gửi cho chính mình” là một tác
Vượt Lên Chính Mình Những câu chuyện ngắn gọn, gần gũi đầy cảm xúc. Qua đó giúp chúng ta hiểu cuộc đời này không phải lúc nào cũng chỉ có thuận lợi, bình yên. Sẽ
Bạn Đỡ Ngu Ngơ Rồi Đấy Sau thành công của cuốn sách tâm lý học gây chấn động năm 2017 Bạn Không Thông Minh Lắm Đâu, tác giả David McRaney sẽ quay trở lại với
Xuyên Qua Nỗi Sợ (Tái Bản) Bạn sợ ra quyết định, sợ đề nghị sếp về việc thăng chức và lên lương, sợ phải chấm dứt một mối quan hệ không như ý, sợ đối
GIỚI THIỆU SÁCH “Tại sao tôi không thể nói đúng như ý mình?” Bắt đầu từ một nỗi băn khoăn mà ai ai cũng có, cuốn sách này đi tìm ngọn nguồn nguyên nhân cũng
Khéo Ăn Nói Sẽ Có Được Thiên Hạ Xã hội hiện đại, từ xin việc đến thăng chức, từ tình yêu đến hôn nhân, từ giao lưu đến hợp tác… không việc gì không cần
Manga for Success - Tư Duy Tích Cực | Cuốn sách giúp bạn hiểu và sống kiên cường Một người vững vàng là người có trái tim rắn rỏi. Song, rắn rỏi không có nghĩa
Manga for Success - Dẫn Dắt Đội Nhóm | Chính phục con đường trở thành facileader Nhiều người bỏ cuộc với suy nghĩ: “Tôi đã cố gắng rồi nhưng mọi việc đâu có suôn sẻ”
Dũng cảm đương đầu phép mầu sẽ đến Cuộc sống như dòng chảy, nếu chúng ta không dám bơi thì sẽ bị dòng chảy cuốn trôi đi mất. Cuộc sống này vẫn biết nó không
Tuổi 20 - Những Năm Tháng Quyết Định Cuộc Đời Bạn (Tái Bản 2023) là cuốn sách kỹ năng hữu ích dành cho những bước chân chênh vênh vào đời của tuổi 20. Những năm
Mình Là Cá, Việc Của Mình Là Bơi Đã bao nhiêu lần bạn tự hỏi về sự tồn tại của bản thân trên thế giới này? Đã bao nhiêu lần bạn thấy mình chìm trong
Rất nhiều nhân tố ảnh hưởng tới cuộc đời chúng ta, ví dụ như sự kì vọng của cha mẹ, của thầy cô, thái độ ghét người thân yêu kẻ địệc sử dụng tiền tài
Cách những nhà lãnh đạo xuất chúng tạo ra thành tích không tưởng mà không khiến nhân viên. Bạn có thấy rằng khi chúng ta có một tinh thần làm việc tốt thì hiệu quả
Học Tập Siêu Đẳng Chúng ta chưa bao giờ được dạy cách học và điều đó thật đáng tiếc. Học tập siêu đẳng không chỉ là CHÌA KHÓA ĐỂ ĐẢO NGƯỢC TẤT CẢ QUAN NIỆM
GIỚI THIỆU Sách - Sách Nói Điện Tử Song Ngữ Anh - Việt cho trẻ em từ 1-7 tuổi ❖ Từ 1 tuổi đến 7 tuổi , trí não trẻ bắt đầu phát triển
“Tôi nghĩ, vào ngày đứa trẻ chào đời, nếu người mẹ có thể cầu xin bà tiên đỡ đầu ban cho em bé một món quà hữu ích nhất, món quà ấy sẽ là trí
Người Thành Công Không Bao Giờ Trì Hoãn sẽ giúp bạn: Xua tan trì hoãn với bí kíp "Du hành thời gian" Xác định các ưu tiên THỰC SỰ của bạn Làm trống hộp thư
Sống Can Đảm - Đời Viên Mãn Để bồi đắp một thái độ tinh thần có thể mang lại bình an và hạnh phúc, chúng ta nên: • Lấp đầy tâm trí mình bằng những
Combo sách kĩ năng sống hữu ích: Ta Vui Đời Sẽ Vui + Ngày Mới, Tự Làm Mới (tặng kèm bookmark thiết kế aha) 3 cuốn kĩ năng sống sẽ giúp bạn có cuộc sống
Dựa trên những báo cáo nghiên cứu khoa học mới nhất, những nghiên cứu tình huống hấp dẫn và những câu chuyện kể thú vị, cuốn sách này là minh chứng cho thấy việc thiết
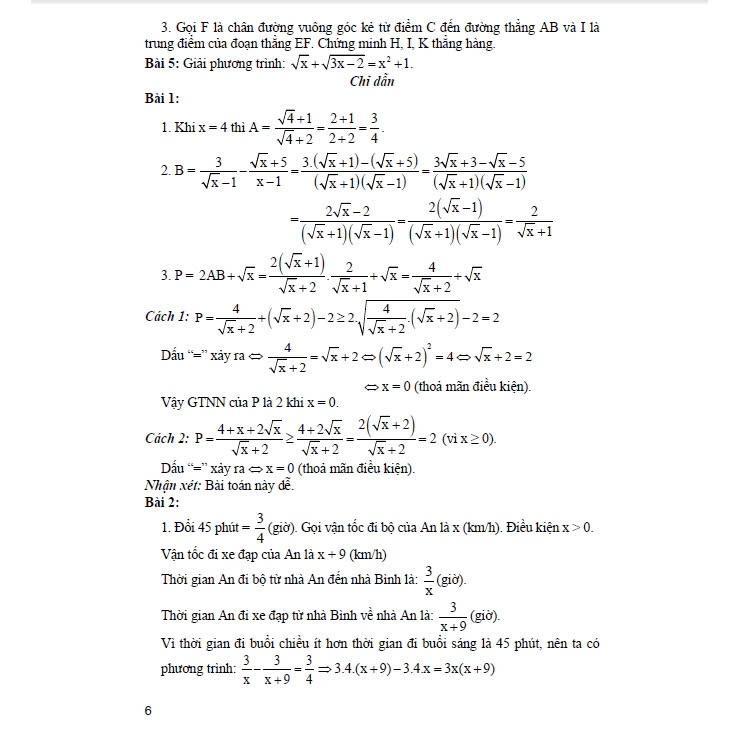
Tác giả: Nhiều tác giả Nhà xuất bản: Nhà Xuất Bản Giáo Dục Việt Nam Ngày xuất bản: 2025 Số trang : 356 Kích thước 16 x 24 cm Loại bìa: Mềm ================================================= Nội dung
Khi Bạn Đang Say Giấc, Ai Đó Đã Đạt Được Ước Mơ Mood to Read trân trọng gửi tới độc giả một cuốn sách đáng kinh ngạc của tác giả Kim Yoojin – Người truyền
Thế giới đang thay đổi nhanh chóng, nhưng cho dù những tiến bộ công nghệ trong tương lai có ra sao đi chăng nữa, thì thứ sẽ không thay đổi là chúng ta sẽ vẫn
GIẢI PHÓNG BỘ NÃO KHỎI TƯ DUY ĐỘC HẠI Có một nghịch lý rất quen thuộc là chúng ta thường xuyên được khuyên rằng hãy suy nghĩ kỹ càng trước khi hành động. Nhưng càng
Ảnh hưởng cá nhân của chúng ta đến từ việc ngộ rõ mình là ai, chúng ta đấu tranh cho điều gì, đâu là những ưu tiên của chúng ta, khi nào chúng ta hành
Đối với mọi nhà lãnh đạo, vấn đề quản lý nhân sự luôn là một trong những bài toán khó tìm kiếm lời giải đáp nhất trong lĩnh vực quản trị. Tuy nhiên, những bài
Cuốn Sách Kỹ Năng Hay: 151 Ý Tưởng - Truyền Cảm Hứng Cho Nhân Viên Ảnh hưởng cá nhân của chúng ta đến từ việc ngộ rõ mình là ai, chúng ta đấu tranh cho
THÓI QUEN NHỎ - THAY ĐỔI LỚN-– DAMON ZAHARIADES 10 bước thay đổi cuộc sống thông qua sức mạnh của những thói quen nhỏ. Cuốn sách sẽ chỉ cho bạn phương pháp tốt nhất
SỐNG NHƯ NHÂN DUYÊN - NGHỆ THUẬT NHÌN NGƯỜI Tác giả: Thích Nhật Từ ------------- Xã hội là một cuộc chiến với nhiều thách thức, mà trong đó, con người được xem là những chiến
Bạn đã thực sự hiểu rõ về bản thân mình chưa? Liệu bạn có trả lời được câu hỏi “Mình là ai” không? Điều tưởng chừng như đơn giản này thực chất lại là vấn
Có khát vọng, con người sống lành mạnh và biết nỗ lực hơn. Tham vọng cũng là mong muốn nhưng lại ở khía cạnh tham lam hơn, vượt quá khả năng, có phần phi thực
Mỗi Lần Vấp Ngã Là Một Lần Trưởng Thành Cuộc đời là quá trình không ngừng trưởng thành. Trong quá trình này, bạn sẽ khó tránh khỏi vấp ngã, sẽ trải qua nhiều lần đau
Sách “Tôi tự học” của tác giả Nguyễn Duy Cần đề cập đến khái niệm, mục đích của học vấn đối với con người đồng thời nêu lên một số phương pháp học tập đúng
Mỗi Lần Vấp Ngã Là Một Lần Trưởng Thành Cuộc đời là quá trình không ngừng trưởng thành. Trong quá trình này, bạn sẽ khó tránh khỏi vấp ngã, sẽ trải qua nhiều lần đau
Lòng tốt và sự đồng cảm là hai trong số nhiều điều thiết yếu khiến cuộc sống của chúng ta có ý nghĩa. Chúng là khởi nguồn cho hạnh phúc và niềm vui vĩnh cửu.
Trong một xã hội tràn ngập những người xuất chúng, những bậc thầy về hình thể và những ngôi sao mạng xã hội với vô số tấm hình hoàn hảo, chúng ta ngày càng cảm
Cởi Trói Linh Hồn Cuốn sách giúp người đọc vượt qua giới hạn của chính mình Nếu đã và đang loay hoay với câu hỏi “Tôi là ai trong cuộc đời này?” thì Cởi trói
"Lựa chọn ngã rẽ, quyết định tương lai" là cẩm nang không thể thiếu của các bạn trẻ, giúp các bạn tự định hướng con đường đi cho riêng bản thân mình. Cuộc sống
Giáo trình do Ban biên soạn gồm các tác giả là nhà nghiên cứu, nhà giáo dục thuộc Viện Triết học - Học viện Chính trị quốc gia Hồ Chí Minh, các học viện, trường
Lối sống tối giản là cách sống cắt giảm vật dụng xuống còn mức tối thiểu. Và cùng với cuộc sống ít đồ đạc, ta có thể để tâm nhiều hơn tới hạnh phúc, đó
Bên Rặng Tuyết Sơn là một trong những quyển sách thuộc bộ sách khoa học tâm linh nổi tiếng của dịch giả Nguyên Phong. Khơi nguồn từ vùng núi Himalaya xa xôi và vùng đồng bằng
Quan Hệ Bạn Bè - Tập 2 Quan Hệ Bạn Bè - Tập 2 – Thanh xuân luôn có một người kề bên Bạn có từng thầm thương trộm nhớ, có từng vì một nụ cười
Lối sống tối giản là cách sống cắt giảm vật dụng xuống còn mức tối thiểu. Và cùng với cuộc sống ít đồ đạc, ta có thể để tâm nhiều hơn tới hạnh phúc, đó
Sách - Buổi Sáng Diệu Kỳ (Tái Bản Mới Nhất) Cách bạn thức dậy mỗi sáng và những thói quen buổi sáng của bạn (hoặc thiếu điều ấy) sẽ ảnh hưởng sâu sắc đến những
👁️ 65 | ⌚2025-09-27 18:00:01.578


Bảng Chữ Cái Montessori 7 in 1 Kèm Xếp Hình Câu Cá Nam Châm Cho Bé Thông tin sản phẩm: Bộ đồ chơi montessori phát triển trí tuệ cho bé An toàn tuyệt đối cho
Story Of The Occult - Những Câu Chuyện Huyền Bí Cuốn sách này sẽ đưa bạn bước vào thế giới của những điều huyền bí, với đầy bí ẩn của các hiện tượng siêu nhiên:
Về Đại Thắng Mùa Xuân Năm 1975 Qua Tài Liệu Của Chính Quyền Sài Gòn Cuốn sách được tuyển chọn trên cơ sở tập hợp những tài liệu của chính quyền Sài Gòn thu thập,
Trí Tuệ Tâm Linh Cuốn sách Trí tuệ tâm linh là kết tinh của một hành trình dài quan sát, nghiên cứu và đúc kết sâu rộng về trí tuệ con người của tác giả.
Kết Nối Não - Ruột "Mỗi tế bào trong cơ thể là một nốt nhạc. Khi ta biết lắng nghe, cơ thể sẽ được hòa tấu thành một bản giao hưởng." - PGS. TS. BS. Nguyễn Công
Bách Khoa Toàn Thư Tìm Hiểu Về Trái Đất - Vương Quốc Khủng Long Cuốn sách Thế giới động vật là những hình ảnh sống động, chân thực cung cấp cho bạn vô vàn những
Bách Khoa Toàn Thư - Tìm Hiểu Về Trái Đất - Khám Phá Đại Dương Cuốn sách Thế giới động vật là những hình ảnh sống động, chân thực cung cấp cho bạn vô vàn
Quyển sách này sẽ cung cấp cho bạn kiến thức, kinh nghiệm để kiểm soát tiền bạc và tương lai tài chính của mình, và làm ra nhiều tiền hơn; giúp bạn hiểu tại sao
Mã hàng: 8935210298539 Tên nhà cung cấp: Tân Việt Books Tác giả: Tú Hiền, Phạm Ngọc Tuấn NXB Mỹ Thuật Năm XB: 2022 Ngôn ngữ: Tiếng Việt Trọng lượng (gr): 300 Số trang: 22 Kích
An Sĩ Toàn Thư - Khuyên Người Tin Sâu Nhân Quả (Quyển Thượng) An Sĩ toàn thưlà một bộ sách khuyến thiện từng được Đại sư Ấn Quang hết lời ngợi khen. Từ trước đến
Tóm tắt nội dung Revolish TOEFL iBT Prep (T2) (kèm CD) được chia thành 20 đơn vị bài học, trong mỗi bài đều có các bài luyện tập cho cả 4 kĩ năng nghe, nói,
“Đọc sách và con đười gian nan vạn dặm”là những trải nghiệm, suy tư, trăn trở của tác giả về thực trạng giáo dục và văn hóa đọc ở Việt Nam. Bằng những trải nghiệm
Giáo Trình Tài Chính Doanh Nghiệp (Phần 2) Giáo trình tài chính Doanh nghiệp phần 2với nội dung súc tích, đơn giản, dễ hiểu, có cập nhật và cải tiến nội dung về quản trị
Tăng Sự Bách Giảng - Phát Triển Phật Giáo Cuốn sách gồm những nội dung chính như sau: Tăng Sự Bách Giảng - Phát Triển Phật Giáo Bài 1: Phật giáo sơ truyền Bài 2:
Người Bạn Của Trái Tim Mã ISBN 978-6-2-25391-8 Mã Kim Đồng 5252519150002 Tác giả Élodie Duhameau viết và vẽ Dịch giả Mộc Anh Giá bìa 55.000 Loại bìa Mềm Khổ 21x21 cm Số trang 36
Công ty phát hành: Huy Hoang Bookstore Nhà xuất bản: Nhà Xuất Bản Dân Trí Tác giả: Song Minh Năm xuất bản: 01-2017 Kích thước: 20.5 x 29.5 cm Số trang: 139 Loại bìa: Bìa
Bất kỳ quy luật nào trong cuốn sách này cũng có thể giúp bạn tiết kiệm thời gian đáng kể cũng như giúp bạn nhận ra toàn bộ khả năng tiềm ẩn của mình. Những
The Friend - Bạn Đồng Hành Sách thắng giải National Book Award hạng mục tiểu thuyết năm 2018. The Friend là cuốn tiểu thuyết của nhà văn Mỹ Sigrid Nunez – được kể qua giọng
Sách - Điều Gì Khiến Các Chàng Trai Tốt Vây Quanh Tôi Cuốn sách này trả lời cho câu hỏi “Điều gì khiến các chàng trai tốt vây quanh tôi?”. Một vài chương sách thật
Đức Trinh Nữ Maria Cuốn sách này gồm những nội dung chính sau: 1. Phần 1: Những vấn đề 2. Phần 2: Đức Maria trong mầu nhiệm giao ước - Chương mở đầu: Hậu cảnh