✨Combo Sơ Đồ Chuỗi Phản Ứng Hóa Học - Vô Cơ + Hữu Cơ (Bộ 2 Cuốn) -KV

Combo Sơ Đồ Chuỗi Phản Ứng Hóa Học - Vô Cơ + Hữu Cơ (Bộ 2 Cuốn)   Hoá học là ngành khoa học nghiên cứu về các chất và sự biến đổi của các chất. Muốn chuyển chất này thành chất khác ta cho các c...

mua sản phẩm tại Shopee Mua tại Shopeemua sản phẩm tại TikiMua tại Tikimua sản phẩm tại LazadaMua tại Lazadamua sản phẩm tại TiktokMua tại Tiktok
Combo Sơ Đồ Chuỗi Phản Ứng Hóa Học - Vô Cơ + Hữu Cơ (Bộ 2 Cuốn) -KVCombo Sơ Đồ Chuỗi Phản Ứng Hóa Học - Vô Cơ + Hữu Cơ (Bộ 2 Cuốn) -KVCombo Sơ Đồ Chuỗi Phản Ứng Hóa Học - Vô Cơ + Hữu Cơ (Bộ 2 Cuốn) -KVCombo Sơ Đồ Chuỗi Phản Ứng Hóa Học - Vô Cơ + Hữu Cơ (Bộ 2 Cuốn) -KVCombo Sơ Đồ Chuỗi Phản Ứng Hóa Học - Vô Cơ + Hữu Cơ (Bộ 2 Cuốn) -KVCombo Sơ Đồ Chuỗi Phản Ứng Hóa Học - Vô Cơ + Hữu Cơ (Bộ 2 Cuốn) -KVCombo Sơ Đồ Chuỗi Phản Ứng Hóa Học - Vô Cơ + Hữu Cơ (Bộ 2 Cuốn) -KV

Combo Sơ Đồ Chuỗi Phản Ứng Hóa Học - Vô Cơ + Hữu Cơ (Bộ 2 Cuốn)  

 

 

Hoá học là ngành khoa học nghiên cứu về các chất và sự biến đổi của các chất. Muốn chuyển chất này thành chất khác ta cho các chất tác dụng với nhau trong những điều kiện nhất định (xúc tác, nhiệt độ, áp suất, ...). 

Kiến thức hoá học chủ yếu là kiến thức về sự tương tác giữa các chất xảy ra trong phản ứng hoá học và được diễn tả bằng phương trình hoá học. 

Chuỗi phản ứng giúp các em ôn tập, hệ thống hoá kiến thức một cách sinh động và hiệu quả nhất.

Chuỗi phản ứng giúp dễ nhớ, nhớ lâu bởi kiến thức được tóm tắt ngắn gọn dưới dạng các sơ đồ. Chuỗi phản ứng cũng giúp rèn luyện khả năng vận dụng  kiến thức, chuẩn bị tốt cho các kì thi Tốt nghiệp Trung học phổ thông và Tuyển sinh Đại học - Cao đẳng.

Cuốn sách được chia làm 2 phần :

Phần I : Hóa Học Phi Kim

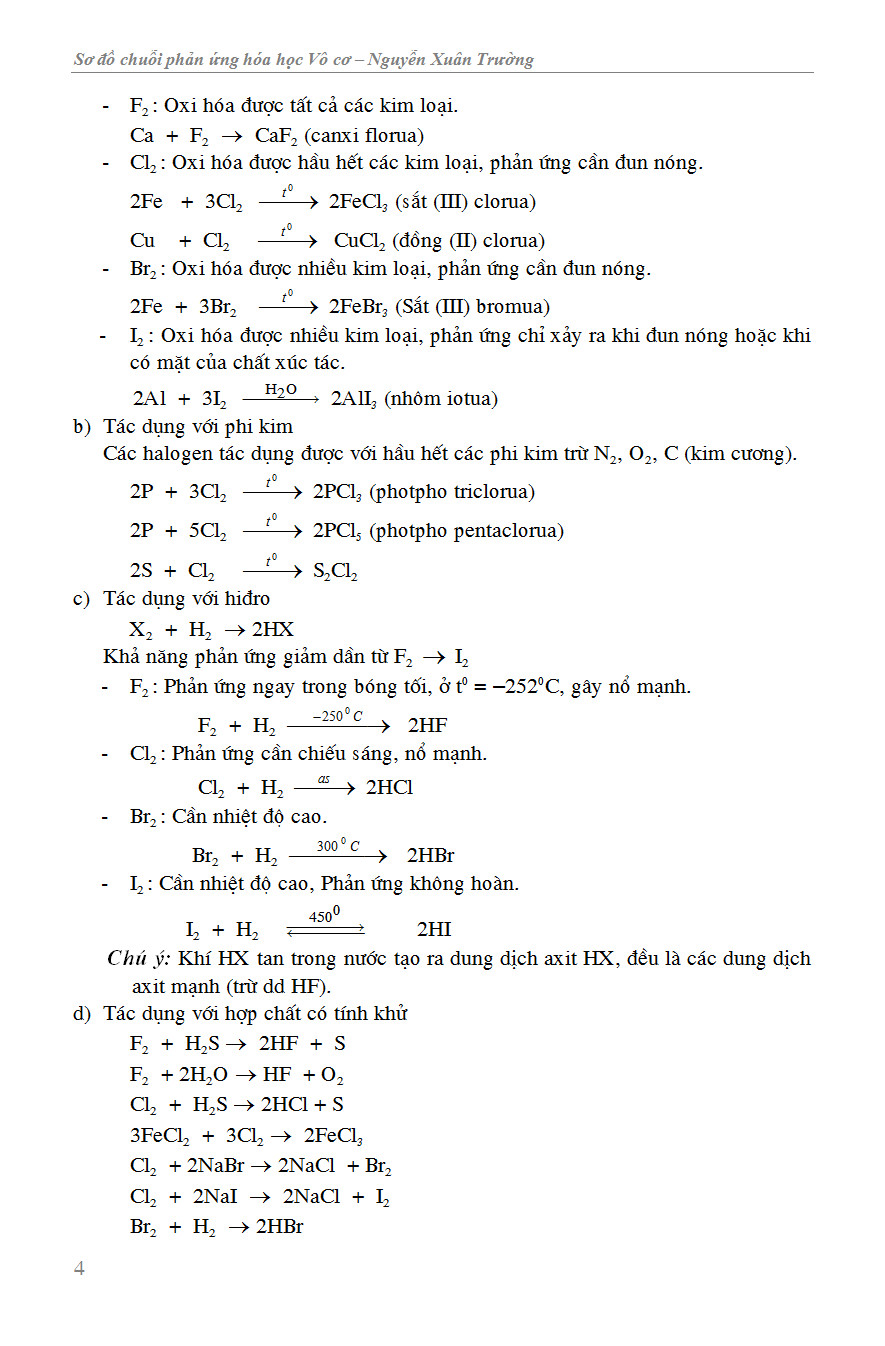
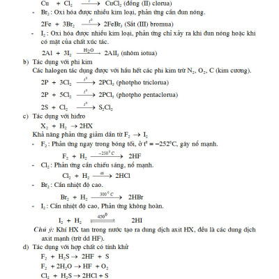
  • Chương 1. Nhóm halogen                                                                                                                                    

  • Chương 2. Nhóm oxi

  • Chương 3. Nhóm nitơ

  • Chương 4. Nhóm cacbon                                

Phần II. Hóa học kim loại

  • Chương 1.  Đại cương về kim loại

  • Chương 2.  Kim loại kiềm- Kim loại kiềm thổ- Nhôm

  • Chương 3.  Sắt và một số kim loại quan trọng

Hóa học là ngành khoa học nghiên cứu về các chất và sự biến đổi của các chất. Muốn chuyển chất này thành chất khác ta cho các chất tác dụng với nhau trong những điều kiện nhất định (xúc tác, nhiệt độ, áp suất, ...).

Kiến thức hóa học chủ yếu là kiến thức về sự tưng tác giữa các chất xãy ra trong phản ứng hóa học và được diễn tả bằng phương trình hóa học.

Chuỗi phản ứng giúp các em ôn tập, hệ thống hóa kiến thức một cách sinh động và hiệu quả nhất.

Chuỗi phản ứng giúp dễ nhớ, nhớ lâu bởi kiến thức được tóm tắt ngắn gọn dưới dạng các sơ đồ. Chuỗi phản ứng cũng giúp rèn luyện khả năng vận dụng kiến thức, chuẩn bị tốt cho các kì thi Tốt nghiệp Trung học phổ thông và Tuyển sinh Đại học - Cao đẳng.


Công ty phát hành Nhà Sách Khang Việt Nhà Xuất bản: Đại Học Quốc Gia Hà Nội Bìa Mềm Tác Giả :PGS.TS Nguyễn Xuân Trường

mua sản phẩm tại Shopee Mua tại Shopeemua sản phẩm tại TikiMua tại Tikimua sản phẩm tại LazadaMua tại Lazadamua sản phẩm tại TiktokMua tại Tiktok
Cuốn sách này mong muốn phổ cập những kiến thức cơ bản và Điện - Điện tử đến với nhiều bạn mong muốn tìm hiểu hệ thống Điện Điện tử trên ô tô. Bộ sách
Cuốn sách này mong muốn phổ cập những kiến thức cơ bản và Điện - Điện tử đến với nhiều bạn mong muốn tìm hiểu hệ thống Điện Điện tử trên ô tô. Bộ sách
Sách - Bộ Lịch - Tổng Hợp Kiến Thức Tiếng Anh, Công Thức Toán Trung Học Cơ Sở (Phiên Bản 5.0)   GIỚI THIỆU SẢN PHẨM: Bộ lịch BẢNG TỔNG HỢP CÔNG THỨC TOÁN THCS
Sách - Sổ Tay Thực Hành Quy Trình điều dưỡng dựa vào bằng trứng tập 1 tăng cường sức khỏe được biên soạn nhằm hỗ trợ cho sinh viên và điều dưỡng thực hiện đánh
Sách - Giáo trình luật dân sự 1 - Phần chung Tác giả PGS.TS. NGÔ HUY CƯƠNG - TS.NGUYỄN THỊ PHƯƠNG CHÂM - TS.TRẦN KIÊN (Đồng Chủ biên) Nhà xuất bản NXB Đại Học Quốc
Sách 900 Câu Tiếng Anh Giao Tiếp Thường Dùng Hàng Ngày - Cẩm Nang Cho Mẹ Cùng Con Học Tiếng Anh Mỗi Ngày (Kèm File Nghe - Quét QR)   GIỚI THIỆU SẢN PHẨM: Cuốn
Sách - Bé Học Tiếng Anh Qua Hình Ảnh (1.000+ Từ Vựng Tiếng Anh Đầu Tiên Cho Bé - 28 Chủ Đề - Song Ngữ Anh Việt - File Nghe QR)   GIỚI THIỆU SẢN
Nội dung gồm có:   Chương 1. Phóng xạ và đồng vị phóng xạ Chương 2. Tương tác của bức xạ hạt nhân với vật chất Chương 3. Hiệu ứng đồng vị và phản ứng
Cuốn sách được hệ thống hóa với cấu trúc lôgíc, khoa học, bố cục chặt chẽ, tập trung đi sâu, làm sáng tỏ những vấn đề lý luận, thực tiễn về cơ sở, quá trình
Mã hàng 8936067605334 Tên Nhà Cung Cấp Minh Long Tác giả Nguyễn Thanh Lâm, Nguyễn Tú Phương NXB NXB Đại Học Quốc Gia Hà Nội Năm XB 2022 Ngôn Ngữ Tiếng Việt Trọng lượng (gr)
Tên sách: IELTS WRITING: Viết luận “chất như nước cất” Tác giả: Nguyễn Hoàng Huy (chủ biên), Hoàng Phước Nguyên, Ngô Trần Anh Thư, Nguyễn Hoàng Anh Thư, Phạm Ngọc Thắng Người vẽ minh hoạ
Trí tuệ nhân tạo (AI) đang làm thay đổi mọi lĩnh vực và giáo dục cũng không ngoại lệ. Nhưng AI không đến để thay thế giáo viên. AI đến để giúp thầy cô tự
Trí tuệ nhân tạo (AI) đang làm thay đổi mọi lĩnh vực và giáo dục cũng không ngoại lệ. Nhưng AI không đến để thay thế giáo viên. AI đến để giúp thầy cô tự
Trí tuệ nhân tạo (AI) đang làm thay đổi mọi lĩnh vực và giáo dục cũng không ngoại lệ. Nhưng AI không đến để thay thế giáo viên. AI đến để giúp thầy cô tự
Trí tuệ nhân tạo (AI) đang làm thay đổi mọi lĩnh vực và giáo dục cũng không ngoại lệ. Nhưng AI không đến để thay thế giáo viên. AI đến để giúp thầy cô tự
Mã hàng 8936110989855 Tên Nhà Cung Cấp Megabook Tác giả Nguyễn Xuân Nam, Trần Thị Den Ni NXB Đại Học Quốc Gia Hà Nội Năm XB 2022 Trọng lượng (gr) 250 Kích Thước Bao Bì
Cuốn sách giới thiệu toàn bộ nội dung Điều lệ Mặt trận Tổ quốc Việt Nam được Đại hội đại biểu toàn quốc Mặt trận Tổ quốc Việt Nam lần thứ IX thông qua ngày
Là người sáng lập và rèn luyện Đảng ta, Chủ tịch Hồ Chí Minh suốt đời chăm lo xây dựng Đảng thành một đảng cách mạng chân chính, “là đạo đức, là văn minh”. Khát
Chia Sẻ thuộc thể loại báo chí mang phong cách đối thoại, nhằm chuyển tải những thông điệp, thể hiện quan điểm, chính kiến của tác giả cũng như những người làm báo trước những
Vở thực hành Lịch sử và địa lí 9 - Kết nối (phần lịch sử)
LÀN SÓNG THỨ BA (The Third Way) - Alvin Toffler - Phúc Lâm dịch - (bìa mềm) - Giá bìa: 289.000đ Làn sóng thứ Ba xuất bản lần đầu năm 1980 là quyển thứ hai
VĂN BẢN VÀ HỆ SINH THÁI VĂN BẢN - Việt Điện U Linh Tập Từ Chức Năng Đến Nghệ Thuật - Đào Phương Chi (khảo cứu, di chú - bìa mềm) - Giá bìa: 265.000đ
Các hệ thống học máy (ML) vừa phức tạp vừa độc đáo. Phức tạp vì chúng cấu thành từ nhiều thành phần khác nhau và cần tới nhiều bên liên quan khác nhau. Độc đáo vì chúng phụ thuộc vào dữ liệu, với dữ liệu có thể thay đổi rất lớn tùy vào từng trường hợp sử dụng cụ thể. Trong cuốn sách này, bạn sẽ học được một cách tiếp cận toàn diện để thiết kế các hệ thống học máy đáng tin cậy, có khả năng mở rộng, dễ bảo trì và thích ứng với các môi trường và yêu cầu kinh doanh thay đổi. Tác giả Chip Huyen, đồng sáng lập Claypot Al, xem xét từng quyết định thiết kế – chẳng hạn làm cách nào xử lý và tạo dữ liệu huấn liệu, cần sử dụng những đặc trưng nào, tần suất huấn luyện lại mô hình là bao nhiêu và cần giám sát những gì – để cân nhắc làm sao giúp hệ thống của bạn đạt được các mục tiêu tổng thể. Framework lặp trong cuốn sách này sử dụng các nghiên cứu tình huống thực tế kèm theo nguồn tham khảo phong phú. Cuốn sách này sẽ giúp bạn giải quyết các kịch bản như: - Xử lý kỹ thuật dữ liệu và lựa chọn các độ đo phù hợp để giải quyết vấn đề kinh doanh. - Tự động hóa quy trình phát triển, đánh giá, triển khai và cập nhật mô hình một cách liên tục. - Phát triển hệ thống giám sát để nhanh chóng phát hiện và giải quyết những vấn đề mà mô hình của bạn có thể gặp phải trong môi trường production. - Kiến thiết một nền tảng ML phục vụ hàng loạt trường hợp sử dụng. - Phát triển các hệ thống ML có trách nhiệm.                  
Cuốn sách được kết cấu làm 3 phần, với hơn 600 trang và gần 100 bức ảnh, trong đó có những bức ảnh lần đầu tiên được công bố. Phần thứ nhất có tiêu đề: “Một
Thực hiện công bằng xã hội ở nước ta không chỉ là hướng tới mục tiêu của chủ nghĩa xã hội, mà còn là một động lực quan trọng nhằm thúc đẩy phát triển kinh
Thuật Ngữ Tâm Lí Học: Anh - Việt - Đức - Pháp Tác giả: Hoàng Hưng (chủ biên), Nguyễn Viết Dũng Cuốn Thuật ngữ Tâm lí học Anh - Việt - Đức - Pháp chú giải tiếng Việt
GIỚI THIỆU NỘI DUNG Cuốn sách giới thiệu toàn diện về song ngữ và giáo dục song ngữ và bàn luận về nhiều vấn đề trong vấn đề quan trọng về song ngữ ở cấp
Di Truyền Học - Bài Tập Chuyên Đề Cuốn sách Di tuyền học (Bài tập chuyên đề) là cuốn sách cung cấp các dạng bài tập vận dụng ở nhiều mức độ khác nhau. Những câu
vCuốn sách có nội dung về lý luận cơ bản của xã hội học và vận dụng được kiến thức về chức năng của xã hội học trong lãnh đạo, quản lý ở Việt Nam
Nhà xuất bản : Nhà Xuất Bản Thế Giới. Công ty phát hành : Omega Plus. Tác giả : Niall Ferguson. Kích thước : 16 x 24 cm. Số trang : 696. Ngày xuất bản
Trong lịch sử phát triển của quốc gia Việt Nam thời kỳ phong kiến tự chủ đầu thế kỷ 11 đến giữa thế kỷ XIX có một vị trí trọng yếu đây là thời kỳ
Niên Giám Khoa Học Năm 2022 ( Bộ sách gồm 4 cuốn) ------------   Niên Giám Khoa Học Năm 2022 Bộ sách gồm 4 cuốn: 1. Những vấn đề  chính trị 2. Những vấn đề
Đại văn hào Lev Tolstoy và nghệ thuật tiểu thuyết ------------   Từ những nét khái quát về cuộc đời, sự nghiệp của đại văn hào, tác giả phân tích, bình luận một cách tỉ
BẢN DỊCH TIẾNG PHÁP Một số vấn đề lý luận và thực tiễn về chủ nghĩa xã hội và con đường đi lên chủ nghĩa xã hội ở Việt Nam Cuốn sách tập hợp 29
Cuốn sách tập hợp các bài tham luận trong Hội thảo khoa học “Tăng cường công tác xây dựng Đảng trong các cơ quan báo chí”, do Ban Tuyên giáo Trung ương Đảng chủ trì,
Hóa học Vô cơ hay Hóa học Đại cương Vô cơ là giáo trình giảng dạy cho sinh viên năm đầu ở các trường Đại học. Giáo trình bao gồm một khối lượng ngày càng
"Hoạt động cung tiến là một chủ đề rất lớn được ghi chép lại trong văn bia. Có thể khẳng định rằng văn khắc Hán Nôm chủ yếu là văn bia mang chủ để cung
Tại sao phần lớn con người thuận tay phải? Người thuận tay phải và người thuận tay trái hành xử khác nhau như thế nào? Tại sao tim nằm bên trái? Mối quan hệ giữa
Cuốn sách "Quá trình phát triển và sụp đổ của chế độ Ngô Đình Diệm – Ngập giữa vũng lầy" của David Halberstam là tác phẩm ghi lại những gì tác giả chứng kiến tại miền Nam
Sciencia - Toán học, Vật lý, Hóa học, Sinh học, và Thiên văn học là một cuốn sách đại chúng và cũng khá đặc biệt. Nó là một dạng sổ tay cho học sinh, nhưng đôi
- Bộ sách do đội ngũ tác giả bao gồm các chuyên gia, giảng viên Đại học, giáo viên THPT Chuyên – những người có kinh nghiệm, hiểu biết về kì thi và đã trực
Để viết quyển sách này, Hoạ sĩ - Nhà giáo nhân dân Uyên Huy đã tham khảo, tổng hợp, đúc kết cùng với kinh nghiệm hành nghề thiết kế và giảng dạy đã cố thiết lập hệ thống bài giảng và mỗi bài trình bày một hệ thống các vấn đề thật thiết thực cho việc truyền đạt và nghiên cứu học tập, đặc biệt là kinh nghiệm và quy trình thực hành cụ thể. “… Họa sĩ - Nhà giáo nhân dân Uyên Huy luôn quan tâm đến lĩnh vực đào tạo, sáng tạo, nghiên cứu mỹ thuật. Việc ông biên soạn sách "Nhận diện nghệ thuật Đồ họa để nghiên cứu, sáng tác và giảng dạy Thiết kế Đồ họa" là sách chuyên ngành Mỹ thuật. Quyển sách này cũng là một tư liệu Mỹ thuật công phu, tâm huyết rất quý với công chúng yêu mỹ thuật của thành phố và cả nước. Đặc biệt, đối với nghiên cứu và giảng dạy và đào tạo thế hệ trẻ…” - Nghệ Sĩ Nhà giáo Ưu tú Nguyễn Xuân Đông - Nguyên Trưởng khoa đồ họa Trường Đại Học Mỹ thuật TP.HCM "…Với tâm niệm: Cố gắng tham khảo, tổng hợp, đúc kết cùng với kinh nghiệm hành nghề thiết kế và giảng dạy để cố thiết lập hệ thống bài giảng và mỗi bày trình bày một hệ thống các vấn đề thật thiết thực cho việc truyền đạt và nghiên cứu học tập, đặc biệt là kinh nghiệm và quy trình thực hành cụ thể. Nhà giáo nhân dân - Họa sĩ Uyên Huy mong muốn trao truyền kiến thức, kinh nghiệm dày dặn mà ông tích lũy trong suốt cuộc đời dạy học và làm nghề, góp phần nâng cao trình độ lý thuyết và thực hành cho sinh viên trẻ ngày nay…" - Thạc sĩ Giảng viên lý luận mỹ thuật Trương Phi Đức - Nguyên Hiệu Trưởng Trường Đại học Mỹ Thuật Thành phố Hồ Chí Minh. "…Tôi thấy sách: "Nhận diện nghệ thuật Đồ họa để nghiên cứu, sáng tác và giảng dạy Thiết kế Đồ họa" của Nhà giáo nhân dân - Họa sĩ Uyên Huy là một biên khảo dày công, một giáo trình có giá trị giúp người hướng dẫn Thiết Kế Đồ Họa tham khảo thêm trong việc giảng dạy, giúp học sinh, sinh viên có được tư liệu giá trị, làm hành trang trong học tập cho mình…" - Họa sĩ Đặng Văn Long - Nguyên Trưởng Khoa Đồ họa Trường Đại học Mỹ thuật TP.HCM. "…Cuốn sách này là tổng đại thành của việc giảng dạy Thiết kế với tầm cao Chuyên nghiệp, đúc kết cả quá trình lên lớp và sáng tác trong suốt cuộc đời của Thầy Mười…" - Họa sĩ, nhà giáo Nguyễn Háo Thoại - Nguyên Phó Hiệu Trưởng Trường Cao đẳng Mỹ Thuật Trang trí Đồng Nai. "…Cuốn sách này của Thầy Mười không chỉ là tập hợp những kiến thức, kỹ thuật thiết kế đồ họa bài bản mà còn là lời tâm huyết của một nghệ sĩ suốt cả cuộc đời cống hiến cho sự phát triển của của ngành thiết kế đồ họa Việt Nam. Qua từng trang sách, ta cảm nhận được sự say mê, nhiệt huyết và tầm nhìn của Thầy đối với ngành thiết kế đồ họa Việt Nam…" - Họa sĩ, nhà thiết kế đồ họa Đỗ Cao Hiền - Giảng viên Khoa Mỹ thuật Ứng dụng, Trường Đại học Mỹ Thuật TP.HCM. "…Đây là công trình sưu tầm, nghiêm cứu, biên soạn có ý nghĩa, giá trị học thuật phục vụ cho công tác chuyên ngành, giảng dạy, sáng tạo nghệ thuật, là nguồn tư liệu bổ ích cho giảng viên, sinh viên các trường mỹ thuật và những đọc giả yêu thích về Nghệ thuật thị giác, chắc chắn đây sẽ là quyển sách mang lại cho bạn đọc nhiều kiến thức mới và bổ ích…" - Giáo sư – Tiến sĩ – Nhà giáo Nhân dân - Nhà điêu khắc Nguyễn Xuân Tiên - Nguyên Phó hiệu trưởng Trường Đại học Mỹ thuật và hiện là Chú tịch Hội Mỹ thuật Thành phố Hồ Chí Minh. "…Có thể thấy, cuốn sách: Nhận diện nghệ thuật Đồ họa để nghiên cứu, sáng tác và giảng dạy Thiết kế Đồ họa còn chứa đựng nhiều giá trị kiến thức hơn những gì tiêu đề sách mang lại…" - Họa sĩ, Tiến sĩ Đỗ Văn Dũng - Phó Hiệu Trưởng Trường Đại học Mỹ thuật TP.HCM.                
Combo Chinh Phục Điểm 8 - 9 - 10 Bài Tập Trắc Nghiệm Toán Giải Tích - Hình Học   Combo Chinh Phục Điểm 8 - 9 - 10 Bài Tập Trắc Nghiệm Toán Giải
Cuốn sách gồm 11 chương: Chương 1: chuyên ngành tâm lý học xã hội Chương 2: Cái tôi nhìn từ góc độ văn hóa và xã hội Chương 3:  Sự hấp dẫn và các mối
Công ty thông thái. Bí quyết đổi mới không ngừng ------------   GIỚI THIỆU CUỐN SÁCH  Công ty thông thái: Bí quyết đổi mới không ngừng   Tri thức vẫn luôn đóng một vai trò
Tri thức vẫn luôn đóng một vai trò quan trọng trong việc thu hút động lực đổi mới trong các tổ chức cũng như trong cộng đồng. Trong bối cảnh ngày nay, thay đổi tốc
Trong lịch sử phát triển của quốc gia Việt Nam, thời kỳ phong kiến tự chủ (từ đầu thế kỷ XI đến giữa thế kỷ XIX) có một vị trí trọng yếu. Đây là thời
Nội dung cuốn sách được chia theo các nhóm vấn đề: ở góc độ lý luận, cuốn sách tập trung trình bày nguồn gốc, lịch sử hình thành và phát triển các khái niệm, học
Cuốn sách nghiên cứu một cách tương đối toàn diện và có hệ thống về chính sách pháp luật tố tụng dân sự đáp ứng yêu cầu của cuộc cách mạng công nghiệp lần thứ
Cuốn sách được biên soạn theo bộ sách giáo khoa mới - “Kết nối tri thức với cuộc sống” môn Ngữ văn 10, tập 1 + 2, nằm trong Chương trình Giáo dục phổ thông
Niên Giám Khoa Học Năm 2021 Bộ sách gồm 4 cuốn: 1. Tập I -  Những vấn đề  chính trị 2. Tập II -  Những vấn đề kinh tế 3. Tập III - Những vấn
Nội dung : Hóa học Vô cơ hay Hóa học Đại cương Vô cơ là giáo trình giảng dạy cho sinh viên năm đầu ở các trường Đại học. Giáo trình bao gồm một khối
THỊNH VƯỢNG GIA TỘC - Phương Thức Bảo Tồn Và Chuyển Giao Gia Sản Con Người, Trí Tuệ Và Tài Chính Qua Các Thế Hệ - James E. Hughes, Jr. Susan E. Massenzio, Keith Whitaker
Premier League - Lịch sử giải Ngoại hạng Anh và sự phát triển của chiến thuật bóng đá Tác giả: Michael Cox (Anh) Người dịch: Đoàn Duy ----------------------------------------------------------------------------------------------------------- Cuốn sách này kể lại lịch sử Premier
GIỚI THIỆU CUỐN SÁCH Công ty thông thái: Bí quyết đổi mới không ngừng   Tri thức vẫn luôn đóng một vai trò quan trọng trong việc thu hút động lực đổi mới trong các
Công ty thông thái. Bí quyết đổi mới không ngừng ------------   GIỚI THIỆU CUỐN SÁCH  Công ty thông thái: Bí quyết đổi mới không ngừng   Tri thức vẫn luôn đóng một vai trò
Combo Chinh Phục Đỉnh Olympia Toán - Lý - Sử - Anh bao gồm: 1. Chinh Phục Đỉnh Olympia Những Mẫu Chuyện Tìm Tòi Và Sáng Tạo Trong Toán Học 2. Chinh Phục Đỉnh Olympia Ngân
Miếng ăn, tiền mặt, xèng, đồng, bạc, hào… cho dù bạn gọi nó là gì thì tiền vẫn quan trọng. Với mỗi người tiền mang một ý nghĩa khác nhau.    Với người Ki-tô giáo,
Cái Chết Của Giới Chuyên Gia  gây tiếng vang lớn ngay sau khi ra đời. Nó được nằm trong Top danh mục sách phi hư cấu hay nhất năm 2017 và Top 50 tác phẩm hay
Trang đầu 2 3 4 5 6 7 8 9 10 11 12 13 14 15 16 17 18 19 20 Trang cuối
👁️ 83 | ⌚2025-10-07 04:51:53.631
Cậu bé đáng thương ở Brazil.
Elxô: rồi m làm đc mẹ gì đâu 🤣🤣 #shorts #lienquanmobile #liênquânmobile #lienquan #liênquân
TỔNG ÔN HỮU CƠ 11 CHO 2K4 - NGÀY 2 - THẦY PHẠM THẮNG
TỔNG ÔN HỮU CƠ 11 CHO 2K4 - NGÀY 1 - THẦY PHẠM THẮNG
LẤY GỐC BÀI TẬP HIDROCACBON - HÓA 11| CHO HỌC SINH MẤT GỐC HÓA
LẤY GỐC HIDROCACBON - HÓA 11| DÀNH CHO HỌC SINH MẤT GỐC HÓA

QC Shopee
Nội dung sách được chia làm ba phần:   Phần Một : Những Nguyên Tắc Chung   Khảo sát thực trạng căn bản của chúng ta: bản chất và nguyên nhân những dạng thức phiền
Tủ Sách Kể Chuyện Lịch Sử Trung Quốc: Kể Chuyện Lưỡng Tấn Nam Bắc Triều  Về nội dung, quyển Kể chuyện Lưỡng Tấn Nam Bắc triều này đề cập tới lịch sử Trung Quốc từ
Cách mạng Tháng Tám, rồi hai cuộc kháng chiến chống Pháp và chống Mỹ kéo dài trên 30 năm, cho đến năm 1975 rồi trước năm 1980, ngót 40 năm; Cả dân tộc và nền
Tủ Sách Kể Chuyện Lịch Sử Trung Quốc: Kể Chuyện Tùy Đường Về nội dung, quyển Kể chuyện Tùy Đường này đề cập tới lịch sử Trung Quốc từ thời Tùy Đường qua thời Ngũ
Mục lục Chương 1 bí mật của hình dạng, âm thanh và hương thơm .9 Chương 2 Những bí mật giả kim của những nơi chốn hành hương linh thiêng ...58 Chương 3 Khoa học
Hãy cùng với Allie, Ollie và chú chó nhỏ của họ, Yo, tham gia chuyến du ngoạn vũ trụ nào! Từ lúc ngắm nhìn các vì sao xa xôi cho tới những bước đi đầu
Atlas Kì Thú Về Động Vật Nhà xuất bản : Nhà Xuất Bản Mỹ Thuật. Công ty phát hành : Tân Việt. Tác giả : Nina Filipek. Kích thước : 30 x 25 x 1
Tác giả: Bạch Nguyệt Hệ Dịch giả: Cao Đức Hiếu Nhà xuất bản: Hà Nội Kích thước: 14.5x20.5 cm Số trang: 420 Ngày phát hành: 2024 Giới thiệu sách Một bộ xếp hình kỳ diệu
Tác giả: Brian Fagan Dịch giả: Quỳnh Chi Nhà xuất bản: Thế Giới Kích thước: 15.5x24 cm Số trang: 368 Ngày phát hành: 2024 đơn vị phát hành: Nhã NaDD Giới thiệu sách Mới xuất
CHẾ NGỰ TÂM LÝ NO BỤNG ĐÓI CON MẮT - Michael Easter (bìa mềm) - Giá bìa: 199.000đ Giới thiệu về nội dung Trong một thế giới tràn ngập ham muốn và sự quyến rũ
Tin Học Ứng Dụng - Phân Tích Dữ Liệu Và Lập Mô Hình Kinh Doanh Trong Excel NỘI DUNG SÁCH: Cho dù bạn làm việc cho một tập đoàn lớn, một công ty nhỏ, một
Chuyển Hóa Hiện Tại Bằng Tương Lai NỘI DUNG: Cuộc Cách mạng đã thay đổi ngành tâm lý học: Giờ đây các nghiên cứu đã chứng minh rằng quá khứ của con người không thúc
ƯU ĐIỂM NỔI BẬT CỦA CUỐN SÁCH: 1. Sách tương tác - tuyệt chiêu giúp trẻ yêu sách: Bộ sách "Trò Chơi Bóc Dán" là một cuốn sách tương tác giúp bé vừa đọc vừa
Ngữ pháp Pali Văn học Phật giáo truyền thống sử dụng được bốn loại ngôn ngữ cổ như Pāli, Sanskrit, Trung, Tây Tạng. Ngoài bốn loại ngôn ngữ trên, ngôn ngữ Magadhῑ được biết như
60 Bài mẫu IELTS Speaking Band 8.0 là cuốn sách do thầy Tú Phạm, người từng đạt điểm IELTS 9.0 Speaking viết cùng cô Minh Nguyễn, người từng dành học bổng Chevening 2017 và cô
Công ty phát hành: Huy Hoang Bookstore Tác giả: Rachel E. Gross Nhà xuất bản: Phụ Nữ Việt Nam Năm xuất bản: 2024 Số trang: 4 Khổ giấy: 13.5x20.5m Trọng lượng: 300gr Bìa mềm ISBN:
Đi về phía bình yên – câu chuyện của chị em bị bạo lực, xâm hại và mua bán người Towards Peaceful horizon: Stories of women surviving domestic violence, abuse, and human trafficking Sách song
Cuốn sách này sẽ tái hiện 41 người hùng của thiên nhiên cho bạn đọc 8-15 tuổi. Hãy dành cho hành tinh xanh này những suy tư nghiêm túc, việc đó nằm trong tay bạn!
Cuốn sách "Bầu không khí" (Atmospheres) của Peter Zumthor là một tác phẩm ngắn gọn nhưng sâu sắc, trong đó kiến trúc sư nổi tiếng người Thụy Sĩ chia sẻ những suy ngẫm cá nhân
Cuốn sách dựa trên chương trình Giải Tích 12 sau đó thâu tóm lại các dạng bài tập chính và cách giải các bài tập đó. Các bài toán được sắp xếp từ để đến khó