✨Bài Tập Toán Cao Cấp - Tập 3 - Phép Tính Giải Tích Nhiều Biến Số












Nội dung gồm có:
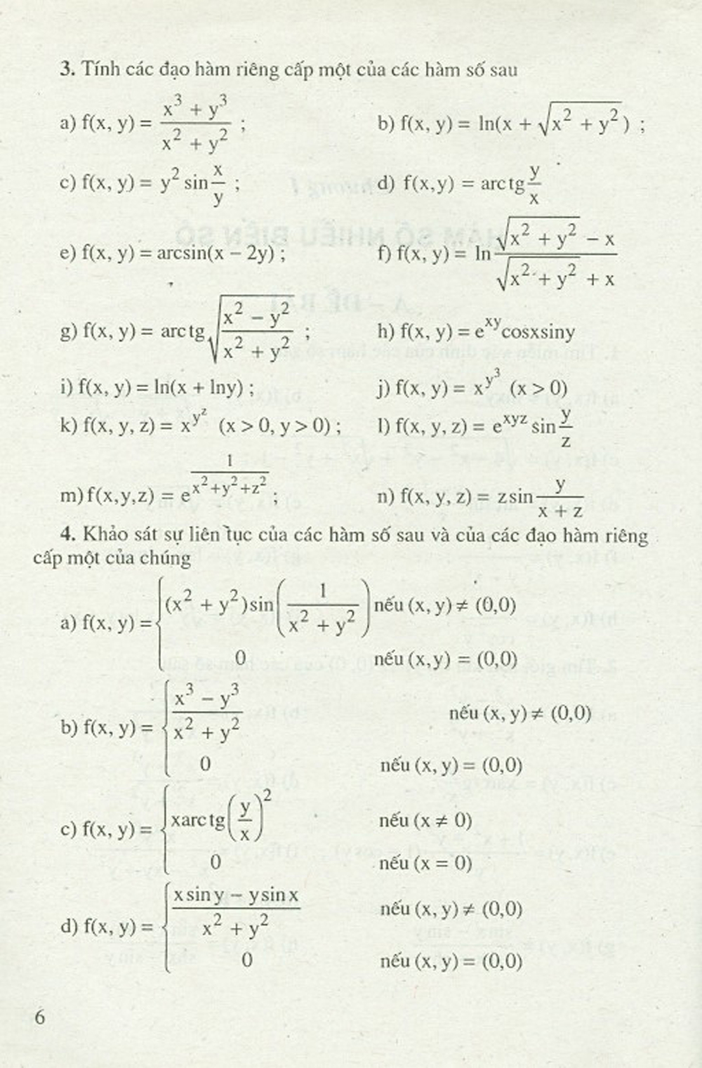
Chương 1. Hàm số nhiều biến số Chương 2. Ứng dụng của phép tính vi phân trong hình học Chương 3. Tích phân bội Chương 4. Tích phân đường, tích phân mặt Chương 5. Phương trình vi phân




Tên sách: Bài tập Toán học cao cấp Tập hai - Giải tích Tác giả: . Nguyễn Đình Trí (Chủ biên) - . Trần Việt Dũng - . Trần Xuân Hiển - . Nguyễn Xuân
Tên sách: Toán học cao cấp Tập hai: Giải tích Tác giả: ễn Đình Trí (Chủ biên) - . Trần Việt Dũng - . Trần Xuân Hiển - . Nguyễn Xuân Thảo Số trang: 424
Tên đề tài: Lịch sử thế giới hiện đại Tác giả: Nguyễn Anh Thái (Chủ biên), Đỗ Thanh Bình, Nguyễn Quốc Hùng, Vũ Ngọc Oanh, Đặng Thanh Toán, Trần Thị Vinh Khổ sách: 16 x
Thông tin sản phẩm Tên đề tài: Lịch sử văn minh thế giới Tác giả: Nguyễn Văn Ánh Khổ sách: 16 x 24 cm Số trang: 468 trang Năm tái bản: 2022 Nhà xuất bản:
Sách - Combo: Toán Học Cao Cấp Và Bài Tập Toán Cao Cấp Tập 2 - Phép Tính Giải Tích Một Biến Số Tác giả: Nhiều tác giả Nhà xuất bản: Nhà xuất bản Giáo
Sách - Xác suất thống kê - Dành cho sinh viên các trường kỹ thuật và công nghệ Tác giả: PGS. TS. Tô Văn Ban Nhà xuất bản: Nhà Xuất Bản Giáo Dục Việt Nam
Tác giả: Hoàng Nhầm Nhà xuất bản: Nhà Xuất Bản Giáo Dục Việt Nam Ngày xuất bản: 2025 Số trang : 328 Kích thước 19 x 27 cm Loại bìa: Mềm =========================================== Nội dung :
Một nền văn học rực rỡ kéo dài gần nghìn năm – nay được hệ thống hóa và trình bày trong một công trình giáo trình bài bản, hiện đại và đầy đủ nội dung.
Tên sách: Vật lý đại cương tập 3 - Bài tập Vật lý đại cương tập 3 Tác giả: Lương Duyên Bình (Chủ biên) Khổ sách: 14.5 x 20.5 Số trang: 472 Nhà xuất bản:
Nội dung gồm có: Phần một. Cấu tạo từ Phần hai. Từ loại tiếng Việt Phần ba. Cụm từ Chương I. Khái quát về cũng từ Chương II. Cụm danh từ Chương III. Cụm động
Tác giả : Hoàng Nhâm Nhà xuất bản: Nhà Xuất Bản Giáo Dục Việt Nam Ngày xuất bản: 2025 Số trang: 292 Kích thước: 19 x 27 cm Loại bìa: Mềm =================================== Nội dung :
Tên sách: Vật lí đại cương tập 2 - Bài tập Vật lí đại cương tập 2 ( Điện dao động sóng) Tác giả: Lương Duyên Bình Khổ sách: 14.5 x 20.5 cm Số trang:
Công ty Học Liệu Sư Phạm giới thiệu: Tác giả : Nhiều tác giả Nhà xuất bản: Nhà Xuất Bản Giáo Dục Việt Nam Ngày xuất bản: 2025 Số trang: 276 Kích thước: 19 x
Combo Giáo Trình Quản Trị Học + Quản Trị Học (Bộ 2 Cuốn) Với mong muốn có được một cuốn giáo trình giảng dạy Quản trị học, nhóm tác giả đã biên soạn cuốn Giáo Trình
Giáo trình Hoá học Vô cơ này đã được viết và giảng dạy từ những năm 50 của thế kỷ trước cho sinh viên khoa Hoá học trường Đại học Tổng hợp Hà Nội trước
Thị trường chứng khoán là một bộ phận không thể thiếu trong điều kiện nền kinh tế thị trường. Từ khi thành lập đến nay, thị trường chứng khoán Việt Nam đã đạt được nhiều
Nhằm đáp ứng yêu cầu nâng cao kiến thức về hóa học hữu cơ ở bậc đại học, chúng tôi biên soạn giáo trình Hóa học Hữu cơ gồm hai tập, mỗi tập
Mô phỏng số và điều khiển các hệ cơ học được viết nhằm phục vụ trực tiếp cho học viên cao học chuyên ngành Cơ học Kỹ thuật và Cơ Điện tử. Các phần của
Chúng tôi biên soạn cuốn Giáo trình bệnh học trẻ em nhằm đáp ứng nhu cầu của sinh viên đại học ngành Giáo dục Mầm non hiện nay. Nội dung giáo trình cung cấp
Tên sách: Phong cách học tiếng việt Tác giả: Đinh Trọng Lạc (Chủ biên), Nguyễn Thái Hoà Khổ sách: 14.5 x 20.5 Số trang: 320 Năm tái bản: 2022 Đơn vị in phát hành: Công ty CP Sách Đại học -
Sách Giáo Trình Cơ Sở Mỹ Thuật Dành Cho Sinh Viên Kiến Trúc Tập 3 nhà xuất bản : xây dựng nhà phát hành : nhà xuất bản xây dựng năm xuất bản : 2021
Nội dung cuốn sách "Giáo Trình Lịch Sử Nghệ Thuật - Tập 1" bao gồm những chương mục sau đây: - Chương 1: Nghệ thuật là gì và ngôn ngữ nghệ thuật. - Chương 2:
Thông thường, giữa lý thuyết và bài tập của một môn học bao giờ cũng được gắn kết chặt chẽ với nhau. Để làm được các dạng bài tập, người học cần hiểu kỹ lý
Cấu tạo kiến trúc là môn học nghiên cứu các bộ phận tạo thành ngôi nhà từ móng đến mái, từ đó biết được vị trí, tác dụng, hình dạng, kích thước, liên kết giữa
Nội dung gồm có: 1. Chuỗi 2. Phương trình vi phân 3. Giải bài toán Cauchy đối với phương trình vi phân tuyến tính với hệ số không đổi bằng phép biến đổi Laplace
Nội dung gồm có: Chương 1: Văn học, hình thái ý thức xã hội thẩm mĩ Chương 2: Văn học với hiện thực đời sống Chương 3: Ý thức xã hội trong văn học Chương
Giới thiệu những vấn đề chung của tâm lý học quản lý. Trình bày tâm lý học trong công tác quản lý cá nhân và quản lý tập thể, đồng thời phân tích nhân cách
Nội dung gồm: Chương I: Tập hợp và ánh xạ. Chương II: Cấu trúc đại số - số phức - đa thức và phân thức hữu tỉ. Chương III: Ma trận - định thức -
Sách: Động Vật Học Không Xương Sống TÁC GIẢ: Thái Trần Bái ĐƠN VỊ PHÁT HÀNH: Công ty Cổ phần Sách Đại học - Dạy nghề NXB: NXB Giáo dục Việt Nam Cấu trúc nội
Cung cấp những kiến thức cơ bản về thực trạng, các khái niệm liên quan, hình thức, yếu tố ảnh hưởng và hậu quả của bạo lực học đường. Vận dụng một số lý thuyết,
Có những nghịch lý trong hệ thống giáo dục hiện nay buộc các nhà giáo dục học phải suy nghĩ: Trong suốt cuộc đời đi học, từ lớp vỡ lòng đến hết bậc đại học
Bộ giáo trình lý luận chính trị gồm 5 cuốn dành cho bậc đại học hệ không chuyên lý luận chính trị. Bộ sách là tài liệu giảng dạy, học tập cho giảng viên, sinh
Nội dung: Chương 1: Phổ hấp thụ hồng ngoại và phổ tán xạ Raman Chương 2: Các phép đối xứng phân tử và nhóm đối xứng Chương 3: Xác định các kiểu dao động phân
Bài tập Lí thuyết Module - NXB Đại học Sư phạm Tác giả: Dương Quốc Việt (CB) – Lê Văn Đính – Đặng Đình Hanh – Đào Ngọc Minh – Nguyễn Công Minh – Trương
Giáo Trình C++ Và Lập Trình Hướng Đối Tượng Lập trình cấu trúc là phương pháp tổ chức, phân chia chương trình thành các hàm, thủ tục. Chúng được dùng để xử lý dữ liệu
Big Data - Công Nghệ Cốt Lõi Trong Kỷ Nguyên Số Khi thuật ngữ dữ liệu lớn lần đầu xuất hiện, tác giả các cuốn sách bán chạy nhất Thomas Davenport (Competing on Analytics, Analytics
Giáo Trình Lập Kế Hoạch Kinh Doanh Giáo trình này giúp sinh viên thực hiện hóa những ý tưởng kinh doanh tạo dựng một quy trình kinh doanh nhỏ bắt đầu lên những ý
Xúc tác hóa dầu:
Từ trước đến nay, chính luận luôn là nhóm thể loại báo chí với những thể loại “đại bác”, có sức nặng, giàu tính phản biện, chiến đấu, được coi trọng trong nghề báo. Tuy
Giáo Trình C++ Và Lập Trình Hướng Đối Tượng ------------ Giáo Trình C++ Và Lập Trình Hướng Đối Tượng Lập trình cấu trúc là phương pháp tổ chức, phân chia chương trình thành các
Mô Tả Sản Phẩm Nghiệp vụ hướng dẫn du lịch hiện là một môn học được giảng dạy trong hầu hết các trường có liên quan đến ngành Du lịch, giới thiệu những kiến thức
Tác giả: Ngô Thị Thuận Năm XB: 2025 ( Sách mới tái bản) Số trang: 220 Khổ sách : 19 x 27 Nhà xuất bản: NXBGDVN Chương 1. Bài tập trắc nghiệm - Bài tập
Ngày nay, điều hoà tiện nghi không thể thiếu trong các toà nhà, khách sạn, văn phòng, nhà hàng, các dịch vụ du lịch, văn hoá, y tế, thể thao mà còn cả trong các
Tên đề tài: Sức bền vật liệu (Lý thuyết và bài tập - Dùng cho các trường ĐH kỹ thuật) Tác giả: Nhữ Phương Mai Khổ sách: 16.0 x 24.0 Năm xuất bản: 2010
Vật Liệu Kỹ Thuật - Tập 2 (Chế tạo, cấu trúc, tính chất, lựa chọn và ứng dụng) nội dung gồm 6 chương: Chương 5: Tổ chức vật liệu Chương 6: Vật liệu kim loại
Công ty phát hành: Công ty TNHH Thương mại và Dịch vụ Văn hóa Hà Nội giả: Đặng Thái Hoàng - Nguyễn Văn Đỉnh - Nguyễn Đình Thi - Vũ Thị Ngọc Anh - Đỗ
Bộ môn Lý thuyết và Lịch sử kiến trúc, Khoa Kiến trúc và Quy hoạch, trường Đại học xây dựng đã cho ra mắt bạn đọc bộ sách hai tập"Giáo trình Lịch sử kiến trúc
Kiến Trúc Nhà Ở Cuốn "Nhà ở và nhà công cộng" trước đây là phần hai của bộ sách "Nguyên lí thiết kế kiến trúc dân dụng",tiếp theo phần một là cuốn "Khái niệm kiến trúc và cơ sở sáng tác".Để nội dung sách bổ ích và hiệu quả hơn tác giả cập nhật bổ sung thêm nhiều thông tin mới, nay cuốn sách chung đó được tách thành 2 cuốn riêng: Cuốn thứ nhất: Kiến trúc nhà ở. Cuốn thứ hai: Kiến trúc nhà công cộng. Nội dung cuốn sách thứ nhất nhằm cung cấp cho sinh viên kiến trúc những kiến thức bắt đầu chuyên sâu về loại hình kiến trúc nhà ở, từ đặc điểm loại hình, lược sử quá trình phát triển, phân loạ đến các nguyên tắc và tiêu chuẩn thiết kế từng phần tạo nên các loại công trình cụ thể kèm vài ví dụ tốt để minh hoạ, cùng các triển vọng và xu hướng phát triển của chúng trong tương lai. Qua môn học, sinh viên không chỉ được mở rộng kiến thức về lí thuyết kiến trúc mà còn được thấy rõ hơn mối quan hệ giữa tiến bộ kĩ thuật và khoa học với kiến trúc và đời sống xã hội, có đủ kiến thức và phương pháp luận để thực hiện những bài tập lớn thực hành, và các đồ án môn học của năm thứ hai và thứ ba. Vì sinh viên sẽ còn được trở lại nghiên cứu sâu hơn nội dung này ở năm thứ tư và trong quá trình làm đồ án môn học, nên nhóm tác giả sẽ chỉ trình bày ở đây những kiến thức cơ sở, các nguyên lí chung và các loại nhà đơn giản, phổ cập nhất. Các vấn đề phức tạp đòi hỏi tri thức liên ngành tổng hợp và mở rộng sẽ được trình bầy trong cuốn tiếp sau, ứng với nội dung môn học tự chọn "chuyên đề nâng cao kiến trúc" phục vụ chuyên ngành sâu ở các năm cuối. Trên tinh thần giáo trình phải bảo đảm được ba tính "cơ bản, hiện đại và Việt Nam" nên nội dung cuốn sách đã cố gắng cung cấp cho sinh viên một cách hệ thống, chủ yếu không chỉ những kiến thức thành tựu chung của khoa học kĩ thuật và nghệ thuật xây dựng thế giới với tính chính xác và được cô đọng mà còn cố gắng lồng cài với chúng các kinh nghiệm và cách xử lí truyền thống đáp ứng các điều kiện và yêu cầu đặc thù Việt Nam, đế trang bị thêm cho sinh viên những kiến thức thực tiễn vốn rất cần cho nghề nghiệp kiến trúc - nghề sáng tạo nghệ thuật, tuy cần nhiều mơ ước, sự bay bổng nhưng không được viển vông xa rời thực tế đất nước, phục vụ tốt cho con người Việt Nam. Nội dung cuốn sách được trình bày với ý đồ rõ ràng cần có kèm theo nhiều hình minh hoạ vì tác giả cho rằng ngôn ngữ có sức biểu cảm mạnh và hàm súc của kiến trúc chính là ở đường nét và hình khối. Lời nói giải thích bao nhiêu cũng có thể không đủ nhưng hình ảnh minh hoạ, các ví dụ về sáng tác tốt của các kiến trúc sư lỗi lạc không chỉ cụ thể hoá những lí thuyết đã trình bày mà qua sự phân tích nghiền ngẫm từ các hình vẽ đó sinh viên sẽ còn thu nhập được nhiều điều bổ ích hơn bởi những thông tin đa nghĩa tiềm ẩn trong các hình minh hoạ vốn rất khó diễn tả đủ bằng lời. Cuốn sách phục vụ bổ ích cho không những các sinh viên kiến trúc các hệ đào tạo chính quy hay ban đêm, tại chứ, mà còn cho kiến trúc sư trẻ, các học viên cao học nghiên cứu sinh ngành kiến trúc và các bạn đọc quan tâm đến ngành xây dựng, kiến trúc nói chung.
Lịch sử hình thành và phát triển kiến trúc đã chỉ ra những yêu cầu quan trọng: đáp ứng công năng, đảm bảo kỹ thuật, hợp lý kinh tế và nhu cầu thẫm mỹ. Các
Giáo trình Giáo trình marketing du lịch Tác giả: T.S Nguyễn Thu Thuỷ (chủ biên) Nhà xuất bản NXB Đại Học Quốc Gia Hà Nội Ngày xuất bản 2024 Số trang 376 Kích thước 16
Sách - Hóa học hữu cơ tập 1 - Nguyễn Đình Thành Tác giả: Nguyễn Đình Thành Nhà xuất bản: NXB Đại Học Quốc Gia Hà Nội Đơn vị phát hành: NXB Đại Học Quốc
Sách - Hóa học hữu cơ tập 3 - Nguyễn Đình Thành Tác giả: Nguyễn Đình Thành Nhà xuất bản: NXB Đại Học Quốc Gia Hà Nội Đơn vị phát hành: NXB Đại Học Quốc
Cuốn sách Kế Toán Trong Doanh Nghiệp Kinh Doanh Dịch Vụ cho thấy dịch vụ là một ngành đặc thù cả về cách thức hoạt động dịch vụ nói riêng và trong quản lý doanh
Lí luận dạy học là lí thuyết khoa học về việc dạy và học, là một lĩnh vực trung tâm của khoa học giáo dục. Trong chương trình đào tạo giáo viên, lí luận dạy
Lược Sử Triết Học Nga (Sách Chuyên Khảo)
Solidworks Toàn Tập (Phần Sơ Cấp) - Tặng sổ tay xương rồng Sổ tay xương rồng tặng mẫu ngẫu nhiên ( 1 trong 4 hình) Công nghệ thay đổi, Cạnh tranh gia tăng. Nhu cầu phát triển
Cuốn sách "Trang bị điện – điện tử máy công nghiệp dùng chung" được biên soạn. làm tài liệu học tập cho sinh viên ngành Tự động hoá Xí nghiệp Công nghiệp của Trường Đại
👁️ 127 | ⌚2025-09-29 16:18:53.394
Video Youtube
Video Youtube
Video Youtube
Video Youtube
Video Youtube
Video Youtube

Video Youtube
Video Youtube
Video Youtube
Video Youtube
Video Youtube
Video Youtube

- Quyển Bloc lịch 2026 dùng gắn vào các loại bìa lịch treo tường, thay thế Bloc năm cũ. * QUY CÁCH BLOC LỊCH: - Chất lượng in công nghệ hiện đại, sắc nét, in
Sổ Da Bìa Mềm Vân Gỗ A5 - Không Kẻ Có Chấm - 200 Trang 100gsm - Blueangel WOL-GM53 - Bìa chất liệu da mềm cao cấp, chống nước, màu sắc tươi sáng. - Lõi
Sổ Da Bìa Mềm Vân Gỗ A5 - Không Kẻ Có Chấm - 200 Trang 100gsm - Blueangel WOL-GM52 - Bìa chất liệu da mềm cao cấp, chống nước, màu sắc tươi sáng. - Lõi
ĐỌC VỊ CẢM XÚC THUYẾT PHỤC BẤT KỲ AI Là người phụ trách mục Góc nhìn cho tờ New York Times, tác giả Trish Hall đã dành nhiều năm ađắm chìm trong những cuộc tranh
• Khu vực Miền Bắc , Vùng Núi Phía Bắc, Miền Trung: Chọn J&T Express (J&T) • Khu vực Nam Trung Bộ, Miền Đông Nam Bộ, TP HCM, Miền Nam: Chọn Giao Hàng Nhanh (GHN)
Sữa hạt 137 Degrees là thương hiệu sữa hạt dinh dưỡng số 1 tại Thái Lan, với thành phần hạt tươi nguyên chất đến 99% KHÔNG ĐƯỜNG, KHÔNG CHẤT BẢO QUẢN, KHÔNG PHA TRỘN SỮA
Sữa hạt 137 Degrees là thương hiệu sữa hạt dinh dưỡng số 1 tại Thái Lan, với thành phần hạt tươi nguyên chất đến 99% KHÔNG ĐƯỜNG, KHÔNG CHẤT BẢO QUẢN, KHÔNG PHA TRỘN SỮA
Sữa hạt 137 Degrees là thương hiệu sữa hạt dinh dưỡng số 1 tại Thái Lan, với thành phần hạt tươi nguyên chất đến 99% KHÔNG ĐƯỜNG, KHÔNG CHẤT BẢO QUẢN, KHÔNG PHA TRỘN SỮA
Thành phần Sữa tắm dưỡng ẩm và làm sáng da S Select (gói refill) bao gồm các thành phần: Water, Lauric Acid, Myristic Acid, Potassium Hydroxide, Cocamide MEA, Glycerin, Glycol Distearate, Cocamidopropyl Betaine, Sodium Laureth
- Đây là phiên bản được Baseus nâng cấp đáng kể chất liệu và độ hoàn thiện, kiểu dáng thiết kế. Sản phẩm với đầu cáp được làm hoàn toàn bằng hợp kim nhôm cao
Game Cờ Cá Ngựa 6038084 Trò chơi cá ngựa cực kì nổi tiếng nay xuất hiện trong một diện mạo mới đẹp hơn, sang trọng hơn, chất lượng hơn. Với bàn cờ được làm
- Sản phẩm là một món quà lưu niệm tuyệt vời, bạn có thể dùng nó để trang trí nội thất trong gia đình, giúp phần nào nói lên tính cách lãng mạn của chủ
Thương hiệu Rạng Đông uy tín tin cậy được khẳng định bởi người tiêu dùng Việt Nam và quốc tế Shop thương hiệu Rạng Đông uy tín, tin cậy Dải điện áp hoạt động: (150V
Ổ khóa Toplex 1204B-60 mm cao cấp được sản xuất theo công nghệ của Đức Bộ 4 chìa, công nghệ cao khóa an toàn, chống cắt, chống chìa giả. Thân bằng hợp kim thép, lõi
Tăng 300% áp lực nước so với vòi thường Vật liệu : đầu vòi bơm làm bằng nhựa cao cấp Đa chức năng Tưới cây, tưới hoa, rửa xe, vệ sinh nhà cửa Dễ dàng
- Ổ khóa Toplex 1203-60 mm. - Ổ khóa được sản xuất theo công nghệ của Đức - Bộ 4 chìa, công nghệ cao an toàn, chống chìa giả, chốn cắt - Thân bằng hợp
Ổ khóa Toplex 1202A-60mm được sản xuất theo công nghệ của Đức Bộ 4 chìa, công nghệ cao khóa an toàn, chống chìa giả, chống cắt Thân bằng hợp kim thép, lõi hợp kim đồng
- Tủ điện nhựa âm tường Schneider Electric Easy9 đa dạng từ 4 module đến 12 module. - Thiết kế tinh tế, dễ dàng lắp đặt, hài hòa nội thất. - Cấp độ bảo vệ
Giấy chứng nhận Nhà Phân phối:
DEEPSEEK ỨNG DỤNG Làm chủ AI mã nguồn mở, từ cơ bản đến thực chiến NỘI DUNG CHÍNH Cuốn sách này giới thiệu một cách tuần tự, có hệ thống các kiến thức, kinh nghiệm